Online Database of Chemicals from Around the World

L-Lysyl-L-Isoleucylglycyl-L-alpha-Glutamylglycyl-L-Threonyl-L-Tyrosylglycyl-L-Valyl-L-Valyl-L-Phenylalanine
[CAS# 142570-54-5]

Identification
Name L-Lysyl-L-Isoleucylglycyl-L-alpha-Glutamylglycyl-L-Threonyl-L-Tyrosylglycyl-L-Valyl-L-Valyl-L-Phenylalanine
Synonyms (4S)-4-[[2-[[(2S,3S)-2-[[(2S)-2,6-Diaminohexanoyl]Amino]-3-Methyl-Pentanoyl]Amino]Acetyl]Amino]-5-[[2-[[(1S,2R)-2-Hydroxy-1-[[(1S)-2-[[2-[[(1S)-1-[[(1S)-1-[[(1S)-2-Hydroxy-2-Oxo-1-(Phenylmethyl)Ethyl]Carbamoyl]-2-Methyl-Propyl]Carbamoyl]-2-Methyl-Propyl]Amino]-2-Oxo-Ethyl]Amino]-1-[(4-Hydroxyphenyl)Methyl]-2-Oxo-Ethyl]Carbamoyl]Propyl]Amino]-2-Oxo-Ethyl]Amino]-5-Oxo-Pentanoic Acid; (4S)-4-[[2-[[(2S,3S)-2-[[(2S)-2,6-Diamino-1-Oxohexyl]Amino]-3-Methyl-1-Oxopentyl]Amino]-1-Oxoethyl]Amino]-5-[[2-[[(1S,2R)-2-Hydroxy-1-[[[(1S)-2-[[2-[[(1S)-1-[[[(1S)-1-[[[(1S)-2-Hydroxy-2-Oxo-1-(Phenylmethyl)Ethyl]Amino]-Oxomethyl]-2-Methylpropyl]Amino]-Oxomethyl]-2-Methylpropyl]Amino]-2-Oxoethyl]Amino]-1-[(4-Hydroxyphenyl)Methyl]-2-Oxoethyl]Amino]-Oxomethyl]Propyl]Amino]-2-Oxoethyl]Amino]-5-Oxopentanoic Acid; (4S)-5-[[2-[[(1S,2R)-1-[[(1S)-2-[[2-[[(1S)-1-[[(1S)-1-[[(1S)-1-(Benzyl)-2-Hydroxy-2-Keto-Ethyl]Carbamoyl]-2-Methyl-Propyl]Carbamoyl]-2-Methyl-Propyl]Amino]-2-Keto-Ethyl]Amino]-1-(4-Hydroxybenzyl)-2-Keto-Ethyl]Carbamoyl]-2-Hydroxy-Propyl]Amino]-2-Keto-Ethyl]Amino]-4-[[2-[[(2S,3S)-2-[[(2S)-2,6-Diaminohexanoyl]Amino]-3-Methyl-Pentanoyl]Amino]Acetyl]Amino]-5-Keto-Valeric Acid
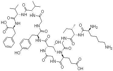
Molecular Structure CAS#: 142570-54-5, L-Lysyl-L-Isoleucylglycyl-L-alpha-Glutamylglycyl-L-Threonyl-L-Tyrosylglycyl-L-Valyl-L-Valyl-L-Phenylalanine
Molecular Formula C55H84N12O16
Molecular Weight 1169.34
CAS Registry Number 142570-54-5
SMILES [C@@H](N)(C(=O)N[C@H](C(=O)NCC(=O)N[C@H](C(=O)NCC(=O)N[C@H](C(=O)N[C@H](C(=O)NCC(=O)N[C@H](C(=O)N[C@H](C(=O)N[C@H](C(=O)O)CC1=CC=CC=C1)C(C)C)C(C)C)CC2=CC=C(C=C2)O)[C@H](O)C)CCC(=O)O)[C@@H](C)CC)CCCCN
InChI 1S/C55H84N12O16/c1-8-31(6)46(67-48(75)36(57)16-12-13-23-56)51(78)60-26-40(70)61-37(21-22-43(73)74)49(76)58-28-42(72)65-47(32(7)68)54(81)62-38(24-34-17-19-35(69)20-18-34)50(77)59-27-41(71)64-44(29(2)3)53(80)66-45(30(4)5)52(79)63-39(55(82)83)25-33-14-10-9-11-15-33/h9-11,14-15,17-20,29-32,36-39,44-47,68-69H,8,12-13,16,21-28,56-57H2,1-7H3,(H,58,76)(H,59,77)(H,60,78)(H,61,70)(H,62,81)(H,63,79)(H,64,71)(H,65,72)(H,66,80)(H,67,75)(H,73,74)(H,82,83)/t31-,32+,36-,37-,38-,39-,44-,45-,46-,47-/m0/s1
InChIKey OGAKEQRZFPXQHB-AKNXIJNZSA-N
Properties
Density 1.276g/cm3 (Cal.)
Boiling point 1581.841°C at 760 mmHg (Cal.)
Flash point 910.464°C (Cal.)
Market Analysis Reports
List of Reports Available for L-Lysyl-L-Isoleucylglycyl-L-alpha-Glutamylglycyl-L-Threonyl-L-Tyrosylglycyl-L-Valyl-L-Valyl-L-Phenylalanine
Related Products
Tris-(2,2'-Bipyridine) Ferrous Sulfate  4-Nitrophenyl myo-inositol-1-phosphate  8-Chloro-Adenosine Cyclic 3',5'-[Hydroge...  Octadecanoic Acid 2-Hydroxypropyl Ester  Domoic acid sodium salt  N-(3-((4-Aminobutyl)Amino)Propyl)-Acetam...  1-Hexanamine Hydrochloride (1:1)  Glycyl-L-Tryptophyl-L-Threonyl-L-Leucyl-...  (OC-6-11)-Tris(2,4-Pentanedionato)-Scand...  2-[[2-Nitro-4-(Trifluoromethyl)Phenyl]Am...  N-(Acetyloxy)-N-[(4-Chlorophenyl)Sulfony...  N-Acetyl-L-Phenylalanyl-L-Lysine  1-[2-[4-[2-(2,5-Dimethylphenyl)Diazenyl]...  (2S,6S)-2,6-Diamino-Heptanedioic Acid  (3-Propoxypropyl)-Benzene