Online Database of Chemicals from Around the World

[(2R)-1-[羟基-[2-[(2-羟基萘-1-基)甲基氨基]乙氧基]磷酰]氧基-3-十四碳酰氧基丙-2-基]十四烷酸酯
[CAS# 143023-13-6]

供应商
CAS#: 143023-13-6
产品: [(2R)-1-[羟基-[2-[(2-羟基萘-1-基)甲基氨基]乙氧基]磷酰]氧基-3-十四碳酰氧基丙-2-基]十四烷酸酯
暂时没有厂家供应该产品。
基本信息
产品名称 [(2R)-1-[羟基-[2-[(2-羟基萘-1-基)甲基氨基]乙氧基]磷酰]氧基-3-十四碳酰氧基丙-2-基]十四烷酸酯
英文名 [(2R)-1-[Hydroxy-[2-[(2-Hydroxynaphthalen-1-Yl)Methylamino]Ethoxy]Phosphoryl]Oxy-3-Tetradecanoyloxypropan-2-Yl] Tetradecanoate
别名 [(1R)-1-[[Hydroxy-[2-[(2-Hydroxy-1-Naphthyl)Methylamino]Ethoxy]Phosphoryl]Oxymethyl]-2-Tetradecanoyloxy-Ethyl] Tetradecanoate; Tetradecanoic Acid [(1R)-1-[[Hydroxy-[2-[(2-Hydroxy-1-Naphthyl)Methylamino]Ethoxy]Phosphoryl]Oxymethyl]-2-(1-Oxotetradecoxy)Ethyl] Ester; Myristic Acid [(1R)-1-[[Hydroxy-[2-[(2-Hydroxy-1-Naphthyl)Methylamino]Ethoxy]Phosphoryl]Oxymethyl]-2-Tetradecanoyloxy-Ethyl] Ester
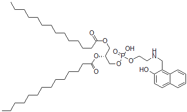
分子结构 CAS 登录号:143023-13-6, [(2R)-1-[羟基-[2-[(2-羟基萘-1-基)甲基氨基]乙氧基]磷酰]氧基-3-十四碳酰氧基丙-2-基]十四烷酸酯
分子式 C44H74NO9P
分子量 792.04
CAS 登录号 143023-13-6
分子行输入简码 SMILES [C@H](OC(=O)CCCCCCCCCCCCC)(CO[P](OCCNCC2=C1C=CC=CC1=CC=C2O)(O)=O)COC(=O)CCCCCCCCCCCCC
国际化学标识码 InChI 1S/C44H74NO9P/c1-3-5-7-9-11-13-15-17-19-21-23-29-43(47)51-36-39(54-44(48)30-24-22-20-18-16-14-12-10-8-6-4-2)37-53-55(49,50)52-34-33-45-35-41-40-28-26-25-27-38(40)31-32-42(41)46/h25-28,31-32,39,45-46H,3-24,29-30,33-37H2,1-2H3,(H,49,50)/t39-/m1/s1
国际化学标识检索码 InChIKey PCFOFASKIGESDV-LDLOPFEMSA-N
市场分析报告
请浏览[(2R)-1-[羟基-[2-[(2-羟基萘-1-基)甲基氨基]乙氧基]磷酰]氧基-3-十四碳酰氧基丙-2-基]十四烷酸酯市场分析报告总目录
相关产品
3-氨基-1-丙醇盐酸盐  汞(II)  十七烷基硫酸氢酯  肉豆蔻酸丙基酯  N-[(2S)-3-[二(4-甲氧基苯基)-苯基甲...  碲123  剑麻皂素-3-O-beta-D-吡喃葡萄糖基(1-...  剑麻皂素 3-O-beta-D-吡喃葡萄糖基(1-...  5-烯丙基-5-(beta-羟基丙基)-N-苯基巴...  alpha-烯丙基-alpha-脲甲酰基-gamm...  1,3-二甲基-5-硝基-巴比妥酸  [(2S)-2,3-二(二十三碳-10,12-二炔...  4-[(2Z)-2-(1-丁基-5-氰基-4-甲基...  N-[4-(4-乙基哌嗪-1-基)苯基]吖啶-9-...  乌苏-12-烯-28-酸3-丙二酸单酯