Online Database of Chemicals from Around the World

2,2',2'',2'''-{[5,11,17,23-四(2-甲基-2-丙基)五环[19.3.1.13,7.19,13.115,19]二十八-1(25),3(28),4,6,9(27),10,12,15(26),16,18,21,23-十二烯-25,26,27,28-四基]四(氧基)}四(N,N-二甲基乙酰胺)
[CAS# 145237-45-2]

供应商
CAS#: 145237-45-2
产品: 2,2',2'',2'''-{[5,11,17,23-四(2-甲基-2-丙基)五环[19.3.1.13,7.19,13.115,19]二十八-1(25),3(28),4,6,9(27),10,12,15(26),16,18,21,23-十二烯-25,26,27,28-四基]四(氧基)}四(N,N-二甲基乙酰胺)
暂时没有厂家供应该产品。
基本信息
产品分类 分析化学 >> 分析试剂 >> 常用分析试剂
产品名称 2,2',2'',2'''-{[5,11,17,23-四(2-甲基-2-丙基)五环[19.3.1.13,7.19,13.115,19]二十八-1(25),3(28),4,6,9(27),10,12,15(26),16,18,21,23-十二烯-25,26,27,28-四基]四(氧基)}四(N,N-二甲基乙酰胺)
英文名 2,2',2'',2'''-{[5,11,17,23-Tetrakis(2-methyl-2-propanyl)pentacyclo[19.3.1.13,7.19,13.115,19]octacosa-1(25),3(28),4,6,9(27),10,12,15(26),16,18,21,23-dodecaene-25,26,27,28-tetrayl]tetrakis(oxy)}tetrakis(N,N-dimethylacetamide)
别名 tert-Butylcalix[4]arene-tetrakis(N,N-dimethylacetamide)
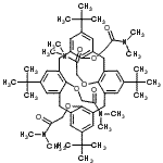
分子结构 CAS 登录号:145237-45-2, 2,2',2'',2'''-{[5,11,17,23-四(2-甲基-2-丙基)五环[19.3.1.1<sup>3,7</sup>.1<sup>9,13</sup>.1<sup>15,19</sup>]二十八-1(25),3(28),4,6,9(27),10,12,15(26),16,18,21,23-十二烯-25,26,27,28-四基]四(氧基)}四(N,N-二甲基乙酰胺)
分子式 C60H84N4O8
分子量 989.33
CAS 登录号 145237-45-2
分子行输入简码 SMILES O=C(N(C)C)COc1c5cc(cc1Cc2cc(cc(c2OCC(=O)N(C)C)Cc3c(OCC(=O)N(C)C)c(cc(c3)C(C)(C)C)Cc4c(OCC(=O)N(C)C)c(cc(c4)C(C)(C)C)C5)C(C)(C)C)C(C)(C)C
国际化学标识码 InChI 1S/C60H84N4O8/c1-57(2,3)45-25-37-21-39-27-46(58(4,5)6)29-41(54(39)70-34-50(66)62(15)16)23-43-31-48(60(10,11)12)32-44(56(43)72-36-52(68)64(19)20)24-42-30-47(59(7,8)9)28-40(55(42)71-35-51(67)63(17)18)22-38(26-45)53(37)69-33-49(65)61(13)14/h25-32H,21-24,33-36H2,1-20H3
国际化学标识检索码 InChIKey FTXOVFAXHOOZQB-UHFFFAOYSA-N
物理化学性质
密度 1.087g/cm3 (计算值)
沸点 993.595°C at 760 mmHg (计算值)
闪点 554.706°C (计算值)
折射率 1.544 (计算值)
安全数据
SDS 化学品安全技术说明书参考文本
市场分析报告
请浏览2,2',2'',2'''-{[5,11,17,23-四(2-甲基-2-丙基)五环[19.3.1.13,7.19,13.115,19]二十八-1(25),3(28),4,6,9(27),10,12,15(26),16,18,21,23-十二烯-25,26,27,28-四基]四(氧基)}四(N,N-二甲基乙酰胺)市场分析报告总目录
相关产品
甲基(1S)-2-氮杂双环[3.1.0]己烷-1-...  (4E)-4-乙酰基-4-己烯腈  2,2-二硝基-1,1-乙烯二胺  2-氯-1,1,1,3,3,3-六甲基-2-(三甲...  N<sup>2</sup>-甲酰基-N<sup>2...  N'-羟基-4-丙氧基苯甲脒  1-甲基-1,2-二氢-4-吡啶甲酰肼  甲基(2-氨基-1-甲氧基-2-氧代乙基)氨基甲酸...  甲基(1-氨基-1-氧代-4-戊烯-2-基)氨基甲...  4-甲酰基-2-嘧啶甲腈  6-(1-哌嗪基)-3(2H)-哒嗪酮  [(仲-丁基氨基)氧基](苯基)甲酮  (4R,5S)-4-甲基-2-氧代-1,3-恶唑烷...  2-氧代-1,3-噻唑烷-5-羧酸  [2-(4-氨基苯基)-1,3-噻唑-4-基]甲醇