Online Database of Chemicals from Around the World

钴啉胺酸
[CAS# 14708-92-0]

供应商
CAS#: 14708-92-0
产品: 钴啉胺酸
暂时没有厂家供应该产品。
基本信息
产品名称 钴啉胺酸
英文名 Cobyric Acid
别名 Cobyrinic Acid-Abcdeg-Hexamide; Diaquacobyric Acid
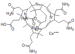
分子结构 CAS 登录号:14708-92-0, 钴啉胺酸
分子式 C45H65CoN10O8
分子量 933.00
CAS 登录号 14708-92-0
分子行输入简码 SMILES [Co+3].N1=C4C(C(C1(C2N=C(C(C2CC(=O)N)(CCC(=O)O)C)C(=C3N=C(C(C3CCC(=O)N)(C)C)C=C5[N-]C(=C4C)C(C5CCC(=O)N)(CC(=O)N)C)C)C)(CC(=O)N)C)CCC(=O)N
国际化学标识码 InChI 1S/C45H66N10O8.Co/c1-21-36-24(10-13-30(47)57)41(3,4)28(53-36)18-27-23(9-12-29(46)56)43(6,19-33(50)60)39(52-27)22(2)37-25(11-14-31(48)58)44(7,20-34(51)61)45(8,55-37)40-26(17-32(49)59)42(5,38(21)54-40)16-15-35(62)63;/h18,23-26,40H,9-17,19-20H2,1-8H3,(H14,46,47,48,49,50,51,52,53,54,55,56,57,58,59,60,61,62,63);/q;+3/p-1
国际化学标识检索码 InChIKey BORCAUPXFYNHHW-UHFFFAOYSA-M
物理化学性质
沸点 1178.8°C at 760 mmHg (计算值)
闪点 666.7°C (计算值)
市场分析报告
请浏览钴啉胺酸市场分析报告总目录
相关产品
锌硝普盐  二氯(吡啶)铜  三氯三(二甲基苯基膦)-铼  二[[(2S,5R)-5-(5-甲基-2,4-二氧...  3-叔-丁基氧基-1-丙烯  1,4-二(烯丙氧基)丁烷  (2R)-2-[(1R)-1-羧基乙氧基]丙酸  3,3'-[[2,2-二[(烯丙氧基)甲基]-1,...  1-[N-(2-羟基乙基)-4'-哌啶基]-3-(...  (3R,4R,5R)-3-氟-5-碘-2-(2-硝...  (1-丙-2-烯基-1-铵双环[2.2.2]辛烷-...  促生长激素神经肽 (1-12)-丙氨酰-神经肽 Y...  双苯霉素C  N6-[(E)-3,7-二甲基-2,6-辛二烯基]...  氨基甲酸2-丙氧基-1-(2-丙炔基氧基甲基)乙酯