基本信息
| 产品名称 |
6-O-((2'',4''-二-O-乙酰基-3''-O-反式-肉桂酰)-alpha-L-吡喃鼠李糖基)梓醇 |
| 英文名 |
6-O-((2'',4''-Di-O-Acetyl-3''-O-trans-Cinnamoyl)-alpha-L-Rhamnopyranosyl)Catalpol |
| 别名 |
Scropolioside D; Beta-D-Glucopyranoside, 6-((2,4-Di-O-Acetyl-6-Deoxy-3-O-(1-Oxo-3-Phenyl-2-Propenyl)-Alpha-L-Mannopyranosyl)Oxy)-1A,1B,2,5A,6,6A-Hexahydro-1A-(Hydroxymethyl)Oxireno(4,5)Cyclopenta(1,2-C)Pyran-2-Yl, (1As-(1Aalpha,1Bbeta,2Beta,5Abeta,6Beta(E),6Aalpha))- |
|
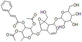
| 分子结构 |
 |
| 分子式 |
C34H42O17 |
| 分子量 |
722.70 |
| CAS 登录号 |
148000-43-5 |
| 分子行输入简码 SMILES |
C6=C(/C=C/C(OC1C(OC(=O)C)C(OC(C1OC(=O)C)C)OC2C4C(C3(C2O3)CO)C(OC=C4)OC5OC(C(C(C5O)O)O)CO)=O)C=CC=C6 |
| 国际化学标识码 InChI |
1S/C34H42O17/c1-15-26(45-16(2)37)28(48-21(39)10-9-18-7-5-4-6-8-18)29(46-17(3)38)33(44-15)49-27-19-11-12-43-31(22(19)34(14-36)30(27)51-34)50-32-25(42)24(41)23(40)20(13-35)47-32/h4-12,15,19-20,22-33,35-36,40-42H,13-14H2,1-3H3/b10-9+ |
| 国际化学标识检索码 InChIKey |
XTDOKCBBQODVJW-MDZDMXLPSA-N |
|