Online Database of Chemicals from Around the World

[3,4-二羟基-5-[[3,4,5-三羟基-6-[2-(4-羟基苯基)乙氧基]四氢吡喃-2-基]甲氧基]四氢呋喃-3-基]甲基(E)-3-(4-羟基苯基)丙-2-烯酸酯
[CAS# 149155-71-5]

供应商
CAS#: 149155-71-5
产品: [3,4-二羟基-5-[[3,4,5-三羟基-6-[2-(4-羟基苯基)乙氧基]四氢吡喃-2-基]甲氧基]四氢呋喃-3-基]甲基(E)-3-(4-羟基苯基)丙-2-烯酸酯
暂时没有厂家供应该产品。
基本信息
产品名称 [3,4-二羟基-5-[[3,4,5-三羟基-6-[2-(4-羟基苯基)乙氧基]四氢吡喃-2-基]甲氧基]四氢呋喃-3-基]甲基(E)-3-(4-羟基苯基)丙-2-烯酸酯
英文名 [3,4-Dihydroxy-5-[[3,4,5-Trihydroxy-6-[2-(4-Hydroxyphenyl)Ethoxy]Oxan-2-Yl]Methoxy]Oxolan-3-Yl]Methyl (E)-3-(4-Hydroxyphenyl)Prop-2-Enoate
别名 [3,4-Dihydroxy-5-[[3,4,5-Trihydroxy-6-[2-(4-Hydroxyphenyl)Ethoxy]Tetrahydropyran-2-Yl]Methoxy]Tetrahydrofuran-3-Yl]Methyl (E)-3-(4-Hydroxyphenyl)Prop-2-Enoate; (E)-3-(4-Hydroxyphenyl)Prop-2-Enoic Acid [3,4-Dihydroxy-5-[[3,4,5-Trihydroxy-6-[2-(4-Hydroxyphenyl)Ethoxy]-2-Tetrahydropyranyl]Methoxy]-3-Tetrahydrofuranyl]Methyl Ester; (E)-3-(4-Hydroxyphenyl)Acrylic Acid [3,4-Dihydroxy-5-[[3,4,5-Trihydroxy-6-[2-(4-Hydroxyphenyl)Ethoxy]Tetrahydropyran-2-Yl]Methoxy]Tetrahydrofuran-3-Yl]Methyl Ester
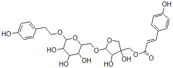
分子结构 CAS 登录号:149155-71-5, [3,4-二羟基-5-[[3,4,5-三羟基-6-[2-(4-羟基苯基)乙氧基]四氢吡喃-2-基]甲氧基]四氢呋喃-3-基]甲基(E)-3-(4-羟基苯基)丙-2-烯酸酯
分子式 C28H34O13
分子量 578.57
CAS 登录号 149155-71-5
分子行输入简码 SMILES C4=C(CCOC1OC(C(O)C(O)C1O)COC2OCC(O)(C2O)COC(=O)\C=C\C3=CC=C(O)C=C3)C=CC(=C4)O
国际化学标识码 InChI 1S/C28H34O13/c29-18-6-1-16(2-7-18)5-10-21(31)39-14-28(36)15-40-27(25(28)35)38-13-20-22(32)23(33)24(34)26(41-20)37-12-11-17-3-8-19(30)9-4-17/h1-10,20,22-27,29-30,32-36H,11-15H2/b10-5+
国际化学标识检索码 InChIKey IGGZLIGWWTVKMJ-BJMVGYQFSA-N
物理化学性质
密度 1.532g/cm3 (计算值)
沸点 846.322°C at 760 mmHg (计算值)
闪点 277.935°C (计算值)
市场分析报告
请浏览[3,4-二羟基-5-[[3,4,5-三羟基-6-[2-(4-羟基苯基)乙氧基]四氢吡喃-2-基]甲氧基]四氢呋喃-3-基]甲基(E)-3-(4-羟基苯基)丙-2-烯酸酯市场分析报告总目录
相关产品
布他卡因  3-庚炔-1-醇  2-(4-氯苯基)-3-硝基丙烷-1-胺  [(Z)-1,1,1-三氟-4-氧代-4-苯基丁-...  [(E)-1,1,1-三氟-4-氧代-4-苯基丁-...  甲基 alpha-L-吡喃鼠李糖苷  异烟腙  勃金刚酯  越霉素A  (3S,6aR,6bS,8aR,9R,14aR,1...  雷公藤内酯二醇酮  安替比林基偶氮 III  DL-左甲状腺素钠盐  己酰肉碱  辛酰-DL-肉碱氯化物