Online Database of Chemicals from Around the World

jaspisamide A
[CAS# 149420-76-8]

Suppliers
CAS#: 149420-76-8
Product: jaspisamide A
No suppilers available for the product.
Identification
Name jaspisamide A
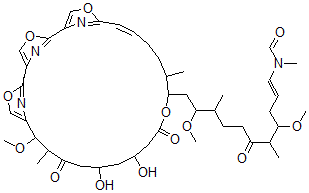
Molecular Structure CAS#: 149420-76-8, jaspisamide A
Molecular Formula C44H62N4O13
Molecular Weight 854.99
CAS Registry Number 149420-76-8
SMILES C(C4OC(=O)CC(O)CC(O)CC(=O)C(C(OC)C1=COC(=N1)C2=COC(=N2)C3=COC(=N3)\C=C/CCC4C)C)C(OC)C(CCC(=O)C(C(OC)C\C=C\N(C=O)C)C)C
InChI 1S/C44H62N4O13/c1-26-12-9-10-14-40-45-33(23-58-40)43-47-34(24-60-43)44-46-32(22-59-44)42(57-8)29(4)36(53)19-30(50)18-31(51)20-41(54)61-39(26)21-38(56-7)27(2)15-16-35(52)28(3)37(55-6)13-11-17-48(5)25-49/h10-11,14,17,22-31,37-39,42,50-51H,9,12-13,15-16,18-21H2,1-8H3/b14-10-,17-11+
InChIKey ZFFIZZXYOLCUDD-AIXGLBGOSA-N
Properties
Density 1.25g/cm3 (Cal.)
Boiling point 1005.265°C at 760 mmHg (Cal.)
Flash point 561.764°C (Cal.)
Market Analysis Reports
List of Reports Available for jaspisamide A
Related Products
Jaspisamide B  Jaspisamide C  3-(9,10-Dihydro-4H-Benzo[4,5]Cyclohepta[...  N-(N-Gly-Gly)-8-Lys-Vasopressin  N-(2,5-Diamino-6-Oxo-3H-Pyrimidin-4-Yl)-...  [(1R,5S,6R,7R,8S)-6-(3,4-Dimethoxyphenyl...  (5-Fluoro-2,4-Dioxopyrimidin-1-Yl)Methyl...  3-Methyl-1,2,3,4-Tetrahydronaphthalene-1...  9-Ala-Nh(2)-Lys-Vasopressin  (3R,4S,5R)-5-(Carboxymethyl-(Phosphonome...  4,5-Dihydroxybenzene-1,3-Disulphonic Aci...  (1S-(1alpha,3abeta,4aalpha,11abeta,12R*)...  8,10a-Dihydroxy-3,11-Dimethyl-1,2-Dihydr...  Aspartyl-arginyl-asparaginyl-phenylalany...  Magnesium Protoporphyrin