基本信息
| 产品名称 |
O(1),O(3)-二(乙氧羰基甲基)-O(2),O(4)-二甲基-p-叔丁基杯(4)芳烃 |
| 英文名 |
O(1),O(3)-Bis(carbethoxymethyl)-O(2),O(4)-dimethyl-p-tert-butylcalix(4)arene |
| 别名 |
O(1),O(3)-Bis(carbethoxymethyl)-O(2),O(4)-dimethyl-p-tert-butylcalix[4]arene |
|
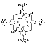
| 分子结构 |
 |
| 分子式 |
C54H72O8 |
| 分子量 |
849.14 |
| CAS 登录号 |
149775-71-3 |
| 分子行输入简码 SMILES |
CCOC(=O)COC1=C2CC3=CC(=CC(=C3OC)CC4=C(C(=CC(=C4)C(C)(C)C)CC5=C(C(=CC(=C5)C(C)(C)C)CC1=CC(=C2)C(C)(C)C)OC)OCC(=O)OCC)C(C)(C)C |
| 国际化学标识码 InChI |
1S/C54H72O8/c1-17-59-45(55)31-61-49-37-19-33-23-41(51(3,4)5)25-35(47(33)57-15)21-39-29-44(54(12,13)14)30-40(50(39)62-32-46(56)60-18-2)22-36-26-42(52(6,7)8)24-34(48(36)58-16)20-38(49)28-43(27-37)53(9,10)11/h23-30H,17-22,31-32H2,1-16H3 |
| 国际化学标识检索码 InChIKey |
YKBOZEHACZIDBO-UHFFFAOYSA-N |
|