Online Database of Chemicals from Around the World

Cyclamiretin A 3-O-Rhamnopyranosyl-1-4-Glucopyranosyl-1-2-(Glucopyranosyl-1-4)-Arabinopyranoside
[CAS# 151625-81-9]

Suppliers
CAS#: 151625-81-9
Product: Cyclamiretin A 3-O-Rhamnopyranosyl-1-4-Glucopyranosyl-1-2-(Glucopyranosyl-1-4)-Arabinopyranoside
No suppilers available for the product.
Identification
Name Cyclamiretin A 3-O-Rhamnopyranosyl-1-4-Glucopyranosyl-1-2-(Glucopyranosyl-1-4)-Arabinopyranoside
Synonyms Cyclamiretin A Rgga; Oleanan-29-Al, 3-((O-6-Deoxy-Alpha-L-Mannopyranosyl-(1-4)-O-Beta-D-Glucopyranosyl-(1-2)-O-(Beta-D-Glucopyranosyl-(1-4))-Alpha-L-Arabinopyranosyl)Oxy)-13,28-Epoxy-16-Hydroxy-, (3Beta,16Alpha,20Beta)-; 3-((O-6-Deoxy-Alpha-L-Mannopyranosyl-(1-4)-O-Beta-D-Glucopyranosyl-(1-2)-O-(Beta-D-Glucopyranosyl-(1-4))-Alpha-L-Arabinopyranosyl)Oxy)-13,28-Epoxy-16-Hydroxyoleanan-29-Al (3Beta,16Alpha,20Beta)-
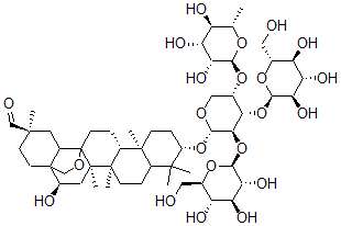
Molecular Structure CAS#: 151625-81-9, Cyclamiretin A 3-O-Rhamnopyranosyl-1-4-Glucopyranosyl-1-2-(Glucopyranosyl-1-4)-Arabinopyranoside
Molecular Formula C53H86O22
Molecular Weight 1075.25
CAS Registry Number 151625-81-9
SMILES [C@@]34(C1(OCC2(C1C[C@@](CC2)(C=O)C)[C@H](O)C3)CC[C@H]5[C@]4(CCC%10[C@@]5(CC[C@H](O[C@@H]8OC[C@H](O[C@@H]6O[C@H]([C@H](O)[C@@H](O)[C@H]6O)C)[C@H](O[C@H]7O[C@@H]([C@@H](O)[C@H](O)[C@H]7O)CO)[C@H]8O[C@@H]9O[C@@H]([C@@H](O)[C@H](O)[C@H]9O)CO)C%10(C)C)C)C)C
InChI 1S/C53H86O22/c1-23-32(58)35(61)38(64)43(69-23)72-26-20-67-46(42(75-45-40(66)37(63)34(60)25(19-55)71-45)41(26)74-44-39(65)36(62)33(59)24(18-54)70-44)73-31-10-11-49(5)27(47(31,2)3)8-12-50(6)28(49)9-13-53-29-16-48(4,21-56)14-15-52(29,22-68-53)30(57)17-51(50,53)7/h21,23-46,54-55,57-66H,8-20,22H2,1-7H3/t23-,24+,25+,26-,27?,28+,29?,30+,31-,32-,33+,34+,35+,36-,37-,38+,39+,40+,41-,42+,43-,44+,45-,46-,48+,49-,50+,51-,52?,53?/m0/s1
InChIKey BKDSZIZBAIJBKZ-LHQJIGRNSA-N
Properties
Density 1.468g/cm3 (Cal.)
Market Analysis Reports
List of Reports Available for Cyclamiretin A 3-O-Rhamnopyranosyl-1-4-Glucopyranosyl-1-2-(Glucopyranosyl-1-4)-Arabinopyranoside
Related Products
Dtpa Ferric Chelate  Allyltrimethylammonium Chloride  Neodymium Tribromate  Methyl (2S,3R)-3-Hydroxy-2-[[(2R)-4-Meth...  Praseodymium Tribromate  Scandium Tribromate  Yttrium Tribromate  Isobutylthiourea  (2S,3S,4S,5R,6S)-6-[[(2R)-1-(2,6-Dimethy...  (1S,3aR,6aR)-1-(4-Hydroxy-3,5-Dimethoxyp...  (3R)-5-Methyl-3,4-Dihydro-1H-Isoquinolin...  1-(2-Ethoxyphenyl)-2-Thiourea  1-Azabicyclo[2.2.2]Octan-8-Yl N-(2-Hepto...  Methyl 2-[[(2S)-3-Hydroxy-2-[(4-Methylph...  4-(3-Thienyl)-alpha,alpha,1-trimethyl-4-...