Online Database of Chemicals from Around the World

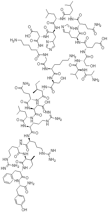
L-丙氨酰-L-缬氨酰-L-丝氨酰-L-alpha-谷氨酰-L-组氨酰-L-谷氨酰胺酰-L-亮氨酰-L-亮氨酰-L-组氨酰-L-alpha-天冬氨酰-L-赖氨酰甘氨酰-L-赖氨酰-L-丝氨酰-L-异亮氨酰-L-谷氨酰胺酰-L-alpha-天冬氨酰-L-亮氨酰-L-精氨酰-L-精氨酰-L-精氨酰-L-异亮氨酰-L-苯丙氨酰-L-L-酪氨酰胺
[CAS# 152617-91-9]

基本信息
产品名称 L-丙氨酰-L-缬氨酰-L-丝氨酰-L-alpha-谷氨酰-L-组氨酰-L-谷氨酰胺酰-L-亮氨酰-L-亮氨酰-L-组氨酰-L-alpha-天冬氨酰-L-赖氨酰甘氨酰-L-赖氨酰-L-丝氨酰-L-异亮氨酰-L-谷氨酰胺酰-L-alpha-天冬氨酰-L-亮氨酰-L-精氨酰-L-精氨酰-L-精氨酰-L-异亮氨酰-L-苯丙氨酰-L-L-酪氨酰胺
英文名 L-Alanyl-L-Valyl-L-Seryl-L-alpha-Glutamyl-L-Histidyl-L-Glutaminyl-L-Leucyl-L-Leucyl-L-Histidyl-L-alpha-Aspartyl-L-Lysylglycyl-L-Lysyl-L-Seryl-L-Isoleucyl-L-Glutaminyl-L-alpha-Aspartyl-L-Leucyl-L-Arginyl-L-Arginyl-L-Arginyl-L-Isoleucyl-L-Phenylalanyl-L-L-Tyrosinamide
分子结构 CAS 登录号:152617-91-9, L-丙氨酰-L-缬氨酰-L-丝氨酰-L-alpha-谷氨酰-L-组氨酰-L-谷氨酰胺酰-L-亮氨酰-L-亮氨酰-L-组氨酰-L-alpha-天冬氨酰-L-赖氨酰甘氨酰-L-赖氨酰-L-丝氨酰-L-异亮氨酰-L-谷氨酰胺酰-L-alpha-天冬氨酰-L-亮氨酰-L-精氨酰-L-精氨酰-L-精氨酰-L-异亮氨酰-L-苯丙氨酰-L-L-酪氨酰胺
CAS 登录号 152617-91-9
市场分析报告
请浏览L-丙氨酰-L-缬氨酰-L-丝氨酰-L-alpha-谷氨酰-L-组氨酰-L-谷氨酰胺酰-L-亮氨酰-L-亮氨酰-L-组氨酰-L-alpha-天冬氨酰-L-赖氨酰甘氨酰-L-赖氨酰-L-丝氨酰-L-异亮氨酰-L-谷氨酰胺酰-L-alpha-天冬氨酰-L-亮氨酰-L-精氨酰-L-精氨酰-L-精氨酰-L-异亮氨酰-L-苯丙氨酰-L-L-酪氨酰胺市场分析报告总目录
相关产品
尿苷 5'-二磷酰-半乳糖-[半乳糖-1-3H(N...  4-(二乙氧基亚膦酰)-苯甲酸  脯氨酰-白明胶酶 B  2-氨基-2-乙基己酸乙酯  乙酸钆盐四水合物  乙酸镝盐四水合物  N-[2-(甲硫基)-3,4-二氧代-1-环丁烯-...  2,2-二氟-2-[1,1,2,2-四氟-2-(1...  B-[6-(苯基甲氧基)-2-萘基]-硼酸  (alphaR)-N,alpha-二甲基-1-萘甲...  2-氯-3-氟-5-碘吡啶  3-氟-2-碘-4-吡啶羧酸  4-[[(1,1-二甲基乙氧基)羰基]氨基]-2,...  L-天冬氨酰胺酰-L-亮氨酰-L-缬氨酰-L-脯氨...  (OC-6-11)-三(1,1,1,5,5,5-六...