Online Database of Chemicals from Around the World

三环环孢菌素A
[CAS# 153475-57-1]

供应商
CAS#: 153475-57-1
产品: 三环环孢菌素A
暂时没有厂家供应该产品。
基本信息
产品名称 三环环孢菌素A
英文名 Tricyclic cyclosporin A
别名 Tricyclic Cyclosporin A
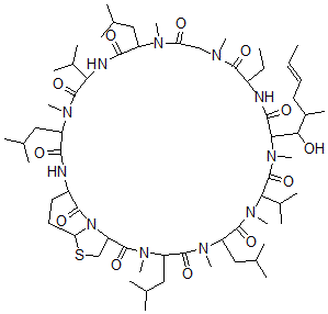
分子结构 CAS 登录号:153475-57-1, 三环环孢菌素A
分子式 C64H111N11O12S
分子量 1258.71
CAS 登录号 153475-57-1
分子行输入简码 SMILES N12C3C(=O)N(C(C(=O)N(C(C(=O)N(C(C(=O)N(C(C(O)C(C\C=C\C)C)C(=O)NC(C(=O)N(CC(=O)N(C(C(=O)NC(C(=O)N(C(C(=O)NC(C1=O)CCC2SC3)CC(C)C)C)C(C)C)CC(C)C)C)C)CC)C)C(C)C)C)CC(C)C)C)CC(C)C)C
国际化学标识码 InChI 1S/C64H111N11O12S/c1-23-25-26-41(15)54(77)53-57(80)65-42(24-2)58(81)68(16)33-49(76)69(17)44(29-35(3)4)56(79)67-51(39(11)12)63(86)70(18)45(30-36(5)6)55(78)66-43-27-28-50-75(59(43)82)48(34-88-50)62(85)72(20)46(31-37(7)8)60(83)71(19)47(32-38(9)10)61(84)73(21)52(40(13)14)64(87)74(53)22/h23,25,35-48,50-54,77H,24,26-34H2,1-22H3,(H,65,80)(H,66,78)(H,67,79)/b25-23+
国际化学标识检索码 InChIKey MUVQWTITGAVGIC-WJTDDFOZSA-N
物理化学性质
密度 1.191g/cm3 (计算值)
沸点 1326.539°C at 760 mmHg (计算值)
闪点 756.064°C (计算值)
市场分析报告
请浏览三环环孢菌素A市场分析报告总目录
相关产品
1-[(1R,2S,4S,6S)-2-异硫氰酸基-...  三氯亚硝基二(三苯基膦)钌  6,7-二氯-5-硝基-1,4-二氢喹喔啉-2,3...  1-(2,3-二甲氧基苯基)-3-二甲基氨基丙烷-...  樟磺阿莫拉明  (Z,3S)-3-[[(2R)-2-[5-[(3a...  1-[3-(7-甲氧基-3,4-二氢萘-1-基)丙...  1-[3-(5-甲氧基-3,4-二氢萘-1-基)丙...  beta-甜没药  [(4S)-3-月桂酰-2-氧代-1,3-恶唑烷-...  (2-甲氧基-5-硝基苯基)2-氨基乙酸酯盐酸盐  17-环丙基甲基-4,5-环氧-3,14-二羟基吗...  3-O-苄基纳曲酮  1-[1-(1-苯并噻吩-2-基)环己基]-3-(...  甲基3-(2,6,6-三甲基环己烯-1-基)丙烯酸...