Online Database of Chemicals from Around the World

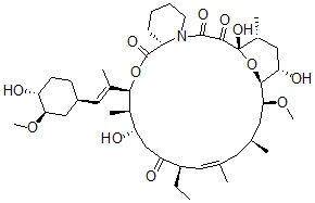
13-O-去甲基子囊霉素
[CAS# 153781-48-7]

供应商
CAS#: 153781-48-7
产品: 13-O-去甲基子囊霉素
暂时没有厂家供应该产品。
基本信息
产品名称 13-O-去甲基子囊霉素
英文名 13-O-Desmethylascomycin
别名 13-O-Desmethylimmunomycin; 15,19-Epoxy-3H-Pyrido(2,1-C)(1,4)Oxaazacyclotricosine-1,7,20,21(4H,23H)-Tetrone, 8-Ethyl-5,6,8,11,12,13,14,15,16,17,18,19,24,25,26,26A-Hexadecahydro-5,16,19-Trihydroxy-3-(2-(3-Hydroxy-4-Methoxycyclohexyl)-1-Methylethenyl)-14-Methoxy-4,10,12,18-Tetramethyl-, (3S-(3R*(E(1S*,3S*,4S*)),4S*,5R*,8S*,9E,12R*,14R*,15R*,16R*,18S*,19S*,26Ar*))-
分子结构 CAS 登录号:153781-48-7, 13-O-去甲基子囊霉素
分子式 C42H67NO12
分子量 777.99
CAS 登录号 153781-48-7
分子行输入简码 SMILES [C@]12(O[C@@H]([C@@H](O)C[C@H]1C)[C@@H](OC)C[C@H](CC(=C/[C@H](C(=O)C[C@H](O)[C@H]([C@H](OC(=O)[C@H]3N(C(=O)C2=O)CCCC3)\C(=C\[C@H]4C[C@@H](OC)[C@H](O)CC4)C)C)CC)/C)C)O
国际化学标识码 InChI 1S/C42H67NO12/c1-9-29-17-23(2)16-24(3)18-36(53-8)38-34(47)20-26(5)42(51,55-38)39(48)40(49)43-15-11-10-12-30(43)41(50)54-37(27(6)32(45)22-33(29)46)25(4)19-28-13-14-31(44)35(21-28)52-7/h17,19,24,26-32,34-38,44-45,47,51H,9-16,18,20-22H2,1-8H3/b23-17+,25-19+/t24-,26+,27+,28-,29+,30-,31+,32-,34-,35+,36-,37+,38-,42+/m0/s1
国际化学标识检索码 InChIKey OKCJYZYYAWVAHA-CTVWFBRYSA-N
市场分析报告
请浏览13-O-去甲基子囊霉素市场分析报告总目录
相关产品
13,15-O-二去甲基长川霉素  1-氨基-1-苯基壬烷-2-酮盐酸盐  2-氨基-1-苯基十一烷-3-酮盐酸盐  阿那佐辛  5-(1,1-二甲基乙基)-5-乙基巴比妥酸  7-羟基-10-氧代吩恶嗪-10-鎓-3-酮  2-丙基-1-[[4-[2-(2H-四唑-5-基)...  8-(4-硫代色满-8-基氧基丁基)-8-氮杂螺[...  1-(2-甲氧基苯基)-4-(2-硫代色满-8-基...  5-(硫代色满-8-基氧基甲基)-1,3-恶唑烷-...  2-(4-硫代色满-8-基氧基丁基)异吲哚-1,3...  2-(3-硫代色满-8-基氧基丙基)异吲哚-1,3...  2-(2-硫代色满-8-基氧乙基)异吲哚-1,3-...  1-苯基-4-(3-硫代色满-8-基氧基丙基)哌嗪  8-((2-甲氧基-3-(4-苯基哌啶-1-基)丙...