Online Database of Chemicals from Around the World

2-[(2S)-2-丁烷基]-4-{4-[4-(4-甲氧基苯基)-1-哌嗪基]苯基}-2,4-二氢-3H-1,2,4-三唑-3-酮
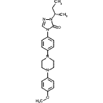
[CAS# 153896-47-0]

基本信息
产品名称 2-[(2S)-2-丁烷基]-4-{4-[4-(4-甲氧基苯基)-1-哌嗪基]苯基}-2,4-二氢-3H-1,2,4-三唑-3-酮
英文名 2-[(2S)-2-Butanyl]-4-{4-[4-(4-Methoxyphenyl)-1-Piperazinyl]Phenyl}-2,4-Dihydro-3H-1,2,4-Triazol-3-One
别名 3H-1,2,4-Triazol-3-one, 2,4-dihydro-4-[4-[4-(4-methoxyphenyl)-1-piperazinyl]phenyl]-2-(1-methylpropyl)-, (S)-; TL8001155
分子结构 CAS 登录号:153896-47-0, 2-[(2S)-2-丁烷基]-4-{4-[4-(4-甲氧基苯基)-1-哌嗪基]苯基}-2,4-二氢-3H-1,2,4-三唑-3-酮
分子式 C23H29N5O2
分子量 407.51
CAS 登录号 153896-47-0
分子行输入简码 SMILES O=C1N(/N=C\N1c4ccc(N3CCN(c2ccc(OC)cc2)CC3)cc4)[C@@H](C)CC
国际化学标识码 InChI 1S/C23H29N5O2/c1-4-18(2)28-23(29)27(17-24-28)21-7-5-19(6-8-21)25-13-15-26(16-14-25)20-9-11-22(30-3)12-10-20/h5-12,17-18H,4,13-16H2,1-3H3/t18-/m0/s1
国际化学标识检索码 InChIKey IVIVGYTUQVJVPF-SFHVURJKSA-N
物理化学性质
密度 1.207g/cm3 (计算值)
沸点 572.422°C at 760 mmHg (计算值)
闪点 299.991°C (计算值)
折射率 1.622 (计算值)
市场分析报告
请浏览2-[(2S)-2-丁烷基]-4-{4-[4-(4-甲氧基苯基)-1-哌嗪基]苯基}-2,4-二氢-3H-1,2,4-三唑-3-酮市场分析报告总目录
相关产品
2,3-二甲氧基苯甲酸  3-异丙基-6-甲基-2H-吡喃-2-酮  二钠3,3'-[(2,5-二溴-1,4-亚苯基)二...  {2,2'-[(甲基亚胺)二(3,1-丙烷二基次氮...  5-(氯甲基)-1H-苯并三唑  乙基3-甲基-4-苯基-1,2-恶唑-5-羧酸酯  N-(5-亚氨基苯并[J]吩恶嗪-9-基)乙酰胺盐...  4-甲基-3,5-二硝基苯胺  (1R)-2-羟基双环[2.2.1]庚-5-烯-2...  (1R)-2-羟基双环[2.2.1]庚-5-烯-2...  乙基3-氰基-2-氧代-1-吡咯烷羧酸酯  4-丙酰基苯甲酰氯  3-氨基-1-(羧甲基)-2-氧代-3-吡咯烷羧酸  2-(丙二烯基氧基)苯甲醛  N-[(3-甲基-2-吡啶基)甲基]甲酰胺