Online Database of Chemicals from Around the World

锰福地吡
[CAS# 155319-91-8]

供应商
International Laboratory Limited 美国 询价快递  
+1 (650) 278-9963
admin@intlab.org
化学品生产商(2002 年起)
基本信息
产品名称 锰福地吡
英文名 Mangafodipir
别名 Manganous 2-[2-[Carboxymethyl-[[3-Hydroxy-2-Methyl-5-(Phosphonooxymethyl)-4-Pyridyl]Methyl]Amino]Ethyl-[[3-Hydroxy-2-Methyl-5-(Phosphonooxymethyl)-4-Pyridyl]Methyl]Amino]Acetic Acid; 2-[2-[Carboxymethyl-[[3-Hydroxy-2-Methyl-5-(Phosphonooxymethyl)Pyridin-4-Yl]Methyl]Amino]Ethyl-[[3-Hydroxy-2-Methyl-5-(Phosphonooxymethyl)Pyridin-4-Yl]Methyl]Amino]Ethanoic Acid; Manganese(+2) Cation; Manganate(6-), ((N,N'-1,2-Ethanediylbis[N-((3-(Hydroxy-Kappao)-2-Methyl-5-((Phosphonooxy)Methyl)-4-Pyridinyl)Methyl]Glycinato-Kappan,Kappao))(8-))-, Hexahydrogen, (Oc-6-13)-
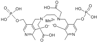
分子结构 CAS 登录号:155319-91-8, 锰福地吡
分子式 C22H32MnN4O14P2
分子量 693.40
CAS 登录号 155319-91-8
分子行输入简码 SMILES C1=NC(=C(O)C(=C1CO[P](O)(O)=O)CN(CCN(CC2=C(C=NC(=C2O)C)CO[P](O)(O)=O)CC(O)=O)CC(O)=O)C.[Mn++]
国际化学标识码 InChI 1S/C22H32N4O14P2.Mn/c1-13-21(31)17(15(5-23-13)11-39-41(33,34)35)7-25(9-19(27)28)3-4-26(10-20(29)30)8-18-16(12-40-42(36,37)38)6-24-14(2)22(18)32;/h5-6,31-32H,3-4,7-12H2,1-2H3,(H,27,28)(H,29,30)(H2,33,34,35)(H2,36,37,38);/q;+2
国际化学标识检索码 InChIKey QDQFSBKXQQZVTB-UHFFFAOYSA-N
物理化学性质
沸点 1049.1°C at 760 mmHg (计算值)
闪点 588.3°C (计算值)
市场分析报告
请浏览锰福地吡市场分析报告总目录
相关产品
(1R,4S,6R)-6-吡啶-3-基-7-氮杂双...  1-(3,4-二羟基苯基)-2-[4-(2-甲氧基...  [(E)-6-环丙亚基-3-甲基己-2-烯基]膦酰...  alpha-[[(4-甲氧基丁基)氨基]甲基]-1...  Metacine  N,N'-二(氮丙啶乙酰基)-1,8-辛二胺  2-(二乙基氨基)乙基2-苯基丁酸酯盐酸盐  哌拉替考  特布非辛  1,3-二(羟基甲基)咪唑烷-2-硫酮  二[(2-羟基乙基)铵]亚硫酸盐  2,2-二辛基-1,3,2-氧硫杂锡戊环-5-酮  4,4'-亚氨基二苯甲脒  4-(2-(5-硝基-2-呋喃基)乙烯基)苯甲酰胺  乙基膦酸对硝基苯基(甲基)酯