Online Database of Chemicals from Around the World

31-Homorifamycin W
[CAS# 157049-51-9]

Suppliers
CAS#: 157049-51-9
Product: 31-Homorifamycin W
No suppilers available for the product.
Identification
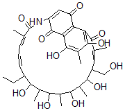
Name 31-Homorifamycin W
Molecular Structure CAS#: 157049-51-9, 31-Homorifamycin W
Molecular Formula C36H47NO11
Molecular Weight 669.77
CAS Registry Number 157049-51-9
SMILES C(C3\C=C(C(C1=C(C(=C(C2=C1C(=O)C=C(C2=O)NC(C(=C/C=C/C(C(C(C)C(C(C(C(C3O)C)O)C)O)O)CC)\C)=O)O)C)O)=O)\C)O
InChI 1S/C36H47NO11/c1-8-21-11-9-10-15(2)36(48)37-23-13-24(39)25-26(33(45)20(7)34(46)27(25)35(23)47)28(40)16(3)12-22(14-38)32(44)19(6)30(42)17(4)29(41)18(5)31(21)43/h9-13,17-19,21-22,29-32,38,41-46H,8,14H2,1-7H3,(H,37,48)/b11-9+,15-10-,16-12-
InChIKey UYPVSSHIUNIPSJ-SDRHBHMESA-N
Market Analysis Reports
List of Reports Available for 31-Homorifamycin W
Related Products
4-Fluoro-2-Methoxybenzyl Alcohol  L-Arginyl-L-Glutamic acid  2-Chloro-3-Methoxy-1,4-Naphthoquinone  Spiroquinazoline  2,4-Dichloro-5-Ethyl-3-Methylphenol  4-Chloro-2,3-Dimethylphenol  Isohomohalichondrin B  Edta Dipotassium Magnesium Salt Dihydrat...  1-[(P-Tolyl)Methyl]Cyclopropanecarbonyl ...  2-(4-Phenylpiperidin-1-Yl)Ethyl 1-(4-Nit...  2-[[3-Hydroxy-2-Methyl-5-(Phosphonooxyme...  3,4,5,6-Tetrachloro-N-Dodecylphthalimide  [[(2S)-1-[[(2S)-1-[(2S)-2-[(2-Methylprop...  2-Hydroxy-2-[[5-Hydroxy-1-Methyl-4-[(2E,...  Iodine123