Online Database of Chemicals from Around the World

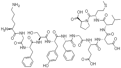
L-Lysylglycyl-L-Phenylalanyl-L-Seryl-L-Tyrosyl-L-Phenylalanylglycyl-L-alpha-Glutamyl-L-alpha-Aspartyl-L-Leucyl-L-Methionyl-L-Proline
[CAS# 157877-99-1]

Identification
Name L-Lysylglycyl-L-Phenylalanyl-L-Seryl-L-Tyrosyl-L-Phenylalanylglycyl-L-alpha-Glutamyl-L-alpha-Aspartyl-L-Leucyl-L-Methionyl-L-Proline
Molecular Structure CAS#: 157877-99-1, L-Lysylglycyl-L-Phenylalanyl-L-Seryl-L-Tyrosyl-L-Phenylalanylglycyl-L-alpha-Glutamyl-L-alpha-Aspartyl-L-Leucyl-L-Methionyl-L-Proline
CAS Registry Number 157877-99-1
Market Analysis Reports
List of Reports Available for L-Lysylglycyl-L-Phenylalanyl-L-Seryl-L-Tyrosyl-L-Phenylalanylglycyl-L-alpha-Glutamyl-L-alpha-Aspartyl-L-Leucyl-L-Methionyl-L-Proline
Related Products
N-(3-Hydroxypropyl)-Carbamic Acid 9H-Flu...  3-Hydroxy-N-Methyl-Benzamide  Bis[4-(1,1-Dimethylethyl)Phenyl]-Methano...  4-Cyano-3-Hydroxy-Butanamide  L-Cysteinyl-L-Valyl-3-(2-Naphthalenyl)-L...  2-(2-Hydroxyphenyl)-1H-Benzimidazole-6-c...  2,4-Dimethoxy-Benzeneethanamine  Octadecanoic Acid 1-Naphthalenyl Ester  2'-[[[(1,1-Dimethylethoxy)Carbonyl]Amino...  9,10-Phenanthrenedicarboxylic Acid, 9,10...  4'-(Hydroxymethyl)-[1,1'-Biphenyl]-2-car...  1-[N,1-Bis[(1,1-Dimethylethoxy)Carbonyl]...  (4R)-4-Butyl-2-Oxazolidinone  Ustiloxin E  N6-(2-Pyridinylcarbonyl)-L-Lysine