Online Database of Chemicals from Around the World

甲基N-{(2S)-3-甲基-1-[(2-甲基-2-丙基)氨基]-1-氧代-2-丁烷基}-L-缬氨酸酯
[CAS# 169453-02-5]

供应商
深圳爱拓化学有限公司 中国 询价快递  
+86 13417589054//+86 13424336463
info@atomaxchem.com,atomax.chemicals@gmail.com,
QQ 交流
化学品生产商
基本信息
产品名称 甲基N-{(2S)-3-甲基-1-[(2-甲基-2-丙基)氨基]-1-氧代-2-丁烷基}-L-缬氨酸酯
英文名 Methyl N-{(2S)-3-Methyl-1-[(2-Methyl-2-Propanyl)Amino]-1-Oxo-2-Butanyl}-L-Valinate
别名 (S)-methyl 2-(((S)-1-(tert-butylamino)-3-methyl-1-oxobutan-2-yl)amino)-3-methylbutanoate
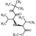
分子结构 CAS 登录号:169453-02-5, 甲基N-{(2S)-3-甲基-1-[(2-甲基-2-丙基)氨基]-1-氧代-2-丁烷基}-L-缬氨酸酯
分子式 C15H30N2O3
分子量 286.41
CAS 登录号 169453-02-5
分子行输入简码 SMILES CC(C)[C@@H](C(=O)NC(C)(C)C)N[C@@H](C(C)C)C(=O)OC
国际化学标识码 InChI 1S/C15H30N2O3/c1-9(2)11(13(18)17-15(5,6)7)16-12(10(3)4)14(19)20-8/h9-12,16H,1-8H3,(H,17,18)/t11-,12-/m0/s1
国际化学标识检索码 InChIKey BRVFFCZPWQQGLC-RYUDHWBXSA-N
物理化学性质
密度 0.968g/cm3 (计算值)
沸点 398.883°C at 760 mmHg (计算值)
闪点 195.038°C (计算值)
折射率 1.455 (计算值)
市场分析报告
请浏览甲基N-{(2S)-3-甲基-1-[(2-甲基-2-丙基)氨基]-1-氧代-2-丁烷基}-L-缬氨酸酯市场分析报告总目录
相关产品
甲基N-[(2S)-1-甲氧基-3-甲基-1-氧代...  乙基N-[(2S)-1-甲氧基-3-甲基-1-氧代...  N-{(2S)-3-甲基-1-[(2-甲基-2-丙...  甲基N-{(2S)-3-甲基-1-[(2-甲基-2...  甲基N-{(2S)-3-甲基-1-[(2-甲基-2...  乙基N-[(苄氧基)羰基]-N-[(1S,2R)-...  甲基N-{(2R)-3-甲基-1-[(2-甲基-2...  甲基N-[(2S)-1-甲氧基-3-甲基-1-氧代...  乙基N-[(2S)-1-甲氧基-3-甲基-1-氧代...  N-{(2R)-3-甲基-1-[(2-甲基-2-丙...  甲基N-{(2R)-3-甲基-1-[(2-甲基-2...  1,1'-{1,3-丙烷二基二[(二甲基铵基)-3...  2,2'-{1,3-丙烷二基二[(二甲基铵基)-3...  3-{[(2S)-4-苄基-2-哌嗪基]甲基}-1...  5-氰基-1H-吲哚-2-羧酸