Online Database of Chemicals from Around the World

N2-乙酰基-4-甲基亮氨酰胺
[CAS# 172485-73-3]

供应商
Achemica 瑞士 询价快递  
+41 (24) 466-2929
contact@achemica.com
化学品生产商(2010 年起)
深圳爱拓化学有限公司 中国 询价快递  
+86 13417589054//+86 13424336463
info@atomaxchem.com,atomax.chemicals@gmail.com,
QQ 交流
化学品生产商
基本信息
产品名称 N2-乙酰基-4-甲基亮氨酰胺
英文名 N2-Acetyl-4-Methylleucinamide
别名 2-acetamido-4,4-dimethylpentanamide
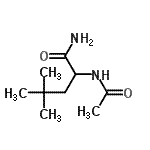
分子结构 CAS 登录号:172485-73-3, N<sup>2</sup>-乙酰基-4-甲基亮氨酰胺
分子式 C9H18N2O2
分子量 186.25
CAS 登录号 172485-73-3
分子行输入简码 SMILES CC(=O)NC(CC(C)(C)C)C(=O)N
国际化学标识码 InChI 1S/C9H18N2O2/c1-6(12)11-7(8(10)13)5-9(2,3)4/h7H,5H2,1-4H3,(H2,10,13)(H,11,12)
国际化学标识检索码 InChIKey SROJQUUSXIGTCO-UHFFFAOYSA-N
物理化学性质
密度 1.011g/cm3 (计算值)
沸点 393.06°C at 760 mmHg (计算值)
闪点 191.516°C (计算值)
折射率 1.464 (计算值)
市场分析报告
请浏览N2-乙酰基-4-甲基亮氨酰胺市场分析报告总目录
相关产品
(1S,3R,5S)-1-乙炔基-2-亚甲基双环[...  2,3-二氯噻吩  5-氨基-6-(异丙基氨基)-2(1H)-嘧啶酮  1-(5-甲氧基-1-苯并呋喃-3-基)乙酮  (1-三苯甲基-1H-咪唑-5-基)甲醇  乙基4-(2-氧代乙基)-1H-咪唑-1-羧酸酯  (3S)-2-(L-缬氨酰)-1,2,3,4-四氢...  2-异丙基-1,3-环己烷二胺  3-氨基-6-(甲基氨基)-2,5-吡嗪二甲腈  (1R,2S,4R)-2-异丙基螺[双环[2.2....  2,2,8-三甲基-4H-[1,3]二恶英并[4,...  4-(1-丙炔-1-基)苯甲醛  2-氯-1-(3-硝基苯基)-1-丙酮  N-乙酰基-2-(2-氧代-1,3-恶唑烷-3-基...  4-羟基-3-(甲硫基)-4,5,6,7-四氢-2...