Online Database of Chemicals from Around the World

[(3S,7S,8aS)-7-{[(9H-芴-9-基甲氧基)羰基]氨基}-1,4-二氧代八氢吡咯并[1,2-a]吡嗪-3-基]乙酸
[CAS# 184700-26-3]

供应商
International Laboratory Limited 美国 询价快递  
+1 (650) 278-9963
admin@intlab.org
化学品生产商(2002 年起)
Rare Chemicals GmbH 德国 询价快递  
+49 (431) 5606-600
info@rarechem.de
化学品生产商(1997 年起)
基本信息
产品名称 [(3S,7S,8aS)-7-{[(9H-芴-9-基甲氧基)羰基]氨基}-1,4-二氧代八氢吡咯并[1,2-a]吡嗪-3-基]乙酸
英文名 [(3S,7S,8aS)-7-{[(9H-Fluoren-9-Ylmethoxy)Carbonyl]Amino}-1,4-Dioxooctahydropyrrolo[1,2-a]Pyrazin-3-Yl]Acetic Acid
别名 Fmoc-(2S,6S,9S)-6-amino-2-carboxymethyl-3,8-diazabicyclo-(4,3,0)-nonane-1,4-dione
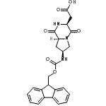
分子结构 CAS 登录号:184700-26-3, [(3S,7S,8aS)-7-{[(9H-芴-9-基甲氧基)羰基]氨基}-1,4-二氧代八氢吡咯并[1,2-a]吡嗪-3-基]乙酸
分子式 C24H23N3O6
分子量 449.46
CAS 登录号 184700-26-3
分子行输入简码 SMILES O=C1N5[C@H](C(=O)N[C@H]1CC(=O)O)C[C@H](NC(=O)OCC4c2ccccc2c3ccccc34)C5
国际化学标识码 InChI 1S/C24H23N3O6/c28-21(29)10-19-23(31)27-11-13(9-20(27)22(30)26-19)25-24(32)33-12-18-16-7-3-1-5-14(16)15-6-2-4-8-17(15)18/h1-8,13,18-20H,9-12H2,(H,25,32)(H,26,30)(H,28,29)/t13-,19-,20-/m0/s1
国际化学标识检索码 InChIKey YUVDXLNDLFAYKW-MRFFXTKBSA-N
物理化学性质
密度 1.482g/cm3 (计算值)
沸点 818.448°C at 760 mmHg (计算值)
闪点 448.781°C (计算值)
折射率 1.689 (计算值)
安全数据
SDS 化学品安全技术说明书参考文本
市场分析报告
请浏览[(3S,7S,8aS)-7-{[(9H-芴-9-基甲氧基)羰基]氨基}-1,4-二氧代八氢吡咯并[1,2-a]吡嗪-3-基]乙酸市场分析报告总目录
相关产品
6-溴-2,3-二甲基喹喔啉  1-苄基-2-乙基-5-羟基-1H-吲哚-3-羧酸...  [5-({[(2-甲基-2-丙基)氧基]羰基}氨基...  甲基2-乙氧基-4-羟基-3,4-二氢-2H-吡喃...  甲基2-乙氧基-4-氧代-3,4-二氢-2H-吡喃...  甲基2-乙氧基-3-甲基-4-氧代-3,4-二氢-...  甲基4-氧代-4H-吡喃-3-羧酸酯  2-甲基-2-丙基D-脯氨酸酯盐酸盐(1:1)  1-甲基-4-氧代-1,4-二氢-3-喹啉羧酸  乙基(2E)-2-[(2-溴苯基)亚肼基]丙酸酯  2-乙氧基-6,7-二氢-5H-环戊二烯并[b]吡...  (5S,6R)-5,6-二乙氧基-3,3-二甲基-...  (5S,6S)-5,6-二乙氧基-3,3-二甲基-...  {1-[({(1R,3R)-1-{3-[(E)-2...  {1-[({(1R,3R)-1-{3-[(E)-2...