Online Database of Chemicals from Around the World

2-[Bis(Cyanomethyl)Amino]Propanenitrile
[CAS# 185257-07-2]

Suppliers
Achemica Switzerland Inquire  
+41 (24) 466-2929
contact@achemica.com
Chemical manufacturer since 2010
Atomax Chemicals Co., Ltd. China Inquire  
+86 13417589054//+86 13424336463
info@atomaxchem.com,atomax.chemicals@gmail.com,
QQ Chat
Chemical manufacturer
Identification
Name 2-[Bis(Cyanomethyl)Amino]Propanenitrile
Synonyms 2,2'-((1-cyanoethyl)azanediyl)diacetonitrile
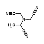
Molecular Structure CAS#: 185257-07-2, 2-[Bis(Cyanomethyl)Amino]Propanenitrile
Molecular Formula C7H8N4
Molecular Weight 148.17
CAS Registry Number 185257-07-2
SMILES CC(C#N)N(CC#N)CC#N
InChI 1S/C7H8N4/c1-7(6-10)11(4-2-8)5-3-9/h7H,4-5H2,1H3
InChIKey FIIUFZGDWANGEJ-UHFFFAOYSA-N
Properties
Density 1.124g/cm3 (Cal.)
Boiling point 405.348°C at 760 mmHg (Cal.)
Flash point 198.106°C (Cal.)
Refractive index 1.486 (Cal.)
Market Analysis Reports
List of Reports Available for 2-[Bis(Cyanomethyl)Amino]Propanenitrile
Related Products
4-[(2-Methyl-2-Propanyl)Oxy]Benzonitrile  2-Chloro-6-Fluoro-4-Methylquinoline  (6R)-5-Acetamido-6-[(1R,2R)-1-acetoxy-2,...  Ethyl N-[(3,4-Dimethoxyphenyl)Sulfonyl]-...  4,7,7-Trimethyl-3-Oxobicyclo[2.2.1]Hepta...  1-[(1R,2R,4R)-Bicyclo[2.2.2]Oct-5-En-2-Y...  (4S)-4,11-Diethyl-4-Hydroxy-3,14-Dioxo-3...  9-Isocyanatotricyclo[5.2.1.0<Sup>2,6</Su...  N-(1H-Imidazol-2-Yl)-1H-Benzimidazol-5-A...  4-Cyclopentyl-4-Hydroxybutanenitrile  3-Chloro-2-(Chloromethyl)Pyridine  1-(2-Methyl-4,6a-dihydro-3aH-cyclopenta[...  4-Bromo-5-Methyl-2-Nitrophenol  1-{(5R)-2-Methyl-5-[(1E)-1-Propen-1-Yl]-...  1-{(5S)-2-Methyl-5-[(1Z)-1-Propen-1-Yl]-...