Online Database of Chemicals from Around the World

庚二酰-辅酶A
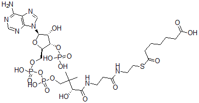
[CAS# 18907-20-5]

供应商
CAS#: 18907-20-5
产品: 庚二酰-辅酶A
暂时没有厂家供应该产品。
基本信息
产品名称 庚二酰-辅酶A
英文名 Pimeloyl-Coenzyme A
别名 7-[2-[3-[[(2R)-4-[[[(2R,3S,4R,5R)-5-(6-Aminopurin-9-Yl)-4-Hydroxy-3-Phosphonooxy-Tetrahydrofuran-2-Yl]Methoxy-Hydroxy-Phosphoryl]Oxy-Hydroxy-Phosphoryl]Oxy-2-Hydroxy-3,3-Dimethyl-Butanoyl]Amino]Propanoylamino]Ethylsulfanyl]-7-Oxo-Heptanoic Acid; 7-[2-[[3-[[(2R)-4-[[[(2R,3S,4R,5R)-5-(6-Amino-9-Purinyl)-4-Hydroxy-3-Phosphonooxy-2-Tetrahydrofuranyl]Methoxy-Hydroxyphosphoryl]Oxy-Hydroxyphosphoryl]Oxy-2-Hydroxy-3,3-Dimethyl-1-Oxobutyl]Amino]-1-Oxopropyl]Amino]Ethylthio]-7-Oxoheptanoic Acid; 7-[2-[3-[[(2R)-4-[[[(2R,3S,4R,5R)-5-(6-Aminopurin-9-Yl)-4-Hydroxy-3-Phosphonooxy-Tetrahydrofuran-2-Yl]Methoxy-Hydroxy-Phosphoryl]Oxy-Hydroxy-Phosphoryl]Oxy-2-Hydroxy-3,3-Dimethyl-Butanoyl]Amino]Propanoylamino]Ethylthio]-7-Keto-Enanthic Acid
分子结构 CAS 登录号:18907-20-5, 庚二酰-辅酶A
分子式 C28H46N7O19P3S
分子量 909.69
CAS 登录号 18907-20-5
分子行输入简码 SMILES [C@H]1(O[C@@H]([C@@H](O[P](=O)(O)O)[C@H]1O)CO[P](O[P](OCC([C@@H](O)C(=O)NCCC(=O)NCCSC(=O)CCCCCC(=O)O)(C)C)(=O)O)(=O)O)[N]2C3=C(N=C2)C(=NC=N3)N
国际化学标识码 InChI 1S/C28H46N7O19P3S/c1-28(2,23(41)26(42)31-9-8-17(36)30-10-11-58-19(39)7-5-3-4-6-18(37)38)13-51-57(48,49)54-56(46,47)50-12-16-22(53-55(43,44)45)21(40)27(52-16)35-15-34-20-24(29)32-14-33-25(20)35/h14-16,21-23,27,40-41H,3-13H2,1-2H3,(H,30,36)(H,31,42)(H,37,38)(H,46,47)(H,48,49)(H2,29,32,33)(H2,43,44,45)/t16-,21-,22-,23+,27-/m1/s1
国际化学标识检索码 InChIKey LYCRXMTYUZDUGA-UYRKPTJQSA-N
物理化学性质
密度 1.817g/cm3 (计算值)
参考文献
(1) Steven Lin and John E. Cronan. Closing in on complete pathways of biotin biosynthesis, Mol. Biosyst., 2011, 7, 1811.
市场分析报告
请浏览庚二酰-辅酶A市场分析报告总目录
相关产品
1-(2-乙基苯基)-1-苯基乙烷  四氟硼酸铷盐  2''-羟基芒柄花黄素  4-乙酰基-alpha-溴氢化肉桂酸  乙基(E)-3-(氨基亚甲基氨基)-3-[(4-氯...  7-(二甲基氨基甲酰氧基)-N-甲基喹啉鎓  4-甲氧基苄基肼基甲酸酯  1-甲基-4-苯基-1,2,3,6-四氢-3-吡啶...  山芹醇  2-(2-异丁氧基乙氧基)乙醇  2,3-丁二烯-1-醇  甲基23-丁二烯酸酯  去甲塞利吉林  雪松醇  环氯胍苯基砜