Online Database of Chemicals from Around the World

L-丝氨酰-L-亮氨酰-L-异亮氨酰甘氨酰-L-赖氨酰-L-缬氨酰胺
[CAS# 190383-13-2]

供应商
AnaSpec, Inc. 美国 询价快递  
+1 (800) 452-5530
service@anaspec.com
化学品生产商
Creative Peptides 美国 询价快递  
+1 (631) 624-4882
info@creative-peptides.com
化学品生产商
chemBlink 集群供应商(2016 年起)
Glentham Life Sciences 英国 询价快递  
+44 (2033) 978-798
info@glenthamls.com
化学品供销商(2013 年起)
International Laboratory Limited 美国 询价快递  
+1 (650) 278-9963
admin@intlab.org
化学品生产商(2002 年起)
Tocris Bioscience Inc. 美国 询价快递  
+1 (636) 207-7651
marketing@tocrisusa.com
化学品生产商(1982 年起)
基本信息
产品分类 生物化工 >> 多肽
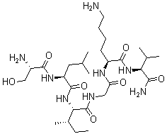
产品名称 L-丝氨酰-L-亮氨酰-L-异亮氨酰甘氨酰-L-赖氨酰-L-缬氨酰胺
英文名 L-Seryl-L-Leucyl-L-Isoleucylglycyl-L-Lysyl-L-Valinamide
别名 THROMBIN RECEPTOR-LIKE 1 (1-6) AMIDE (HUMAN); PAR-2 AGONIST PEPTIDE (SLIGKV) AMIDE, HUMAN; H-SER-LEU-ILE-GLY-LYS-VAL-NH2
分子结构 CAS 登录号:190383-13-2, L-丝氨酰-L-亮氨酰-L-异亮氨酰甘氨酰-L-赖氨酰-L-缬氨酰胺
分子式 C28H54N8O7
分子量 614.78
CAS 登录号 190383-13-2
分子行输入简码 SMILES NCCCC[C@@H](C(=O)N[C@H](C(=O)N)C(C)C)NC(=O)CNC(=O)[C@H]([C@H](CC)C)NC(=O)[C@@H](NC(=O)[C@H](CO)N)CC(C)C
国际化学标识码 InChI 1S/C28H54N8O7/c1-7-17(6)23(36-27(42)20(12-15(2)3)34-25(40)18(30)14-37)28(43)32-13-21(38)33-19(10-8-9-11-29)26(41)35-22(16(4)5)24(31)39/h15-20,22-23,37H,7-14,29-30H2,1-6H3,(H2,31,39)(H,32,43)(H,3
蛋白质序列 H-Ser-Leu-Ile-Gly-Lys-Val-NH2
安全数据
SDS 化学品安全技术说明书参考文本
市场分析报告
请浏览L-丝氨酰-L-亮氨酰-L-异亮氨酰甘氨酰-L-赖氨酰-L-缬氨酰胺市场分析报告总目录
相关产品
1-甲基-1H-吡咯-2,3,4,5-D4  2-磺基-丁二酸 1-十二烷基酯钠盐(1:2)  7,8-二羟基-4-丙基-2H-1-苯并吡喃-2-...  (5S)-二氢-5-甲基-2(3H)-呋喃酮  N-(3-氧代丁基)-乙酰胺  二(十二烷氧基)-氧代-氧代-膦烷钾  2-氨基-N,N-二甲基-苯甲胺  苯丙氨酸苄氧羰基酰肼三氟乙酸盐  N1-环丙基-2-氯乙酰胺  啶虫脒-N-去甲基  2,3,4,7,8,8a-六氢-3,6,8,8-四...  4-氯-3-苯基-吡啶  (4S)-4-乙基-4,9-二羟基-10-[(甲基...  3-[2-(三甲基硅烷基)乙炔基]-苯甲腈  3,7-二羟基-5-甲氧基-2-(3,4,5-三羟...