Online Database of Chemicals from Around the World

3-乙氧基-4-甲基-5-(1-甲基-1H-咪唑-2-基)-1,2-恶唑
[CAS# 194286-92-5]

供应商
Achemica 瑞士 询价快递  
+41 (24) 466-2929
contact@achemica.com
化学品生产商(2010 年起)
深圳爱拓化学有限公司 中国 询价快递  
+86 13417589054//+86 13424336463
info@atomaxchem.com,atomax.chemicals@gmail.com,
QQ 交流
化学品生产商
基本信息
产品名称 3-乙氧基-4-甲基-5-(1-甲基-1H-咪唑-2-基)-1,2-恶唑
英文名 3-Ethoxy-4-Methyl-5-(1-Methyl-1H-Imidazol-2-Yl)-1,2-Oxazole
别名 3-ethoxy-4-methyl-5-(1-methyl-1H-imidazol-2-yl)isoxazole
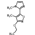
分子结构 CAS 登录号:194286-92-5, 3-乙氧基-4-甲基-5-(1-甲基-1H-咪唑-2-基)-1,2-恶唑
分子式 C10H13N3O2
分子量 207.23
CAS 登录号 194286-92-5
分子行输入简码 SMILES O(c1noc(c1C)c2nccn2C)CC
国际化学标识码 InChI 1S/C10H13N3O2/c1-4-14-10-7(2)8(15-12-10)9-11-5-6-13(9)3/h5-6H,4H2,1-3H3
国际化学标识检索码 InChIKey NBHYPUVUHSUBPO-UHFFFAOYSA-N
物理化学性质
密度 1.24g/cm3 (计算值)
沸点 397.345°C at 760 mmHg (计算值)
闪点 194.108°C (计算值)
折射率 1.582 (计算值)
市场分析报告
请浏览3-乙氧基-4-甲基-5-(1-甲基-1H-咪唑-2-基)-1,2-恶唑市场分析报告总目录
相关产品
3-(3-乙氧基-4-甲基-1,2-恶唑-5-基)...  甲基(1S)-1-氨基-3-乙烯基-3-环戊烯-1...  甲基1-氨基-3-异丙烯基-3-环己烯-1-羧酸酯  3-乙酰氨基-4-甲基-2-氧代戊酸  3-羟基-2-哌啶羧酸  (2R,3R,4R)-2,5-二(羟基甲基)-3,...  1H-吡啶并[2,3-f][1,2,3,5]T乙基...  [1,3]二氧杂环戊并[4,5-e][1,3]硫氮...  4-氰基-1-甲基-1,4-二氢-3-吡啶甲酰胺  甲基5-甲基-2-噻吩羧酸酯  (2,5-二甲基-3-吡啶基)甲醇  4-乙烯基苯甲酰氟  1-甲基-5H-吡咯并[1,2-c]咪唑-5-酮  2-氨基-4-氟庚酸  4-氟-5-甲基-L-正亮氨酸