Online Database of Chemicals from Around the World

N-乙酰基-4-甲基-L-亮氨酸
[CAS# 199170-91-7]

供应商
Achemica 瑞士 询价快递  
+41 (24) 466-2929
contact@achemica.com
化学品生产商(2010 年起)
深圳爱拓化学有限公司 中国 询价快递  
+86 13417589054//+86 13424336463
info@atomaxchem.com,atomax.chemicals@gmail.com,
QQ 交流
化学品生产商
基本信息
产品名称 N-乙酰基-4-甲基-L-亮氨酸
英文名 N-Acetyl-4-Methyl-L-Leucine
别名 (S)-2-acetamido-4,4-dimethylpentanoic acid
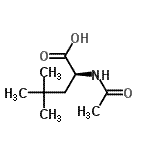
分子结构 CAS 登录号:199170-91-7, N-乙酰基-4-甲基-L-亮氨酸
分子式 C9H17NO3
分子量 187.24
CAS 登录号 199170-91-7
分子行输入简码 SMILES CC(=O)N[C@@H](CC(C)(C)C)C(=O)O
国际化学标识码 InChI 1S/C9H17NO3/c1-6(11)10-7(8(12)13)5-9(2,3)4/h7H,5H2,1-4H3,(H,10,11)(H,12,13)/t7-/m0/s1
国际化学标识检索码 InChIKey DGGQDBMYIWFFHL-ZETCQYMHSA-N
物理化学性质
密度 1.051g/cm3 (计算值)
沸点 370.974°C at 760 mmHg (计算值)
闪点 178.159°C (计算值)
折射率 1.461 (计算值)
市场分析报告
请浏览N-乙酰基-4-甲基-L-亮氨酸市场分析报告总目录
相关产品
3-硝基-4-丙基苯甲酸  (2,2-二氟-3-亚甲基环丙基)乙酸  异丙基(4-甲酰基苯氧基)乙酸酯  3-(4,5-二氢-1H-咪唑-2-基)-5-甲基...  8-乙氧基-2,2,4-三甲基-1,2,3,4-四...  2-(三氟甲基)苯基三氟甲烷磺酸酯  3-(三氟甲基)苯基三氟甲烷磺酸酯  乙基(5,6-二甲基-1H-苯并咪唑-1-基)乙酸...  乙基2-羟基-3-糠酸酯  乙基4-羟基-1-甲基-6-氧代-2,4-环己二烯...  6,7-二氢-5H-吡咯并[1,2-c]咪唑-1-...  5,6,7,8-四氢咪唑并[1,5-a]吡啶-1-...  1-丙基-1H-咪唑-4-甲醛  5-甲基-1-丙基-1H-咪唑-4-甲醛  1-(2,3-二氢-1H-吡咯里嗪-7-基)乙酮