| Achemica | Switzerland | Inquire | ||
|---|---|---|---|---|
![]() |
+41 (24) 466-2929 | |||
![]() |
contact@achemica.com | |||
| Chemical manufacturer since 2010 | ||||
| Sigma-Aldrich, Inc. | USA | Inquire | ||
|---|---|---|---|---|
![]() |
+86 (21) 6141-5566 / 800-819-3336 | |||
![]() |
ordercn@sial.com, | |||
| Chemical manufacturer since 1992 | ||||
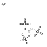
| Name | Thallium(3+) Perchlorate Hydrate (1:3:1) |
|---|---|
| Synonyms | PERCHLORIC ACID,THALLIUM(3+) SALT, HYDRATE (9CI); Thallium(III) perchlorate hydrate |
| Molecular Structure | ![]() |
| Molecular Formula | H2Cl3O13Tl |
| Molecular Weight | 520.75 |
| CAS Registry Number | 207738-09-8 |
| SMILES | [Tl+3].O=Cl(=O)(=O)[O-].[O-]Cl(=O)(=O)=O.[O-]Cl(=O)(=O)=O.O |
| InChI | 1S/3ClHO4.H2O.Tl/c3*2-1(3,4)5;;/h3*(H,2,3,4,5);1H2;/q;;;;+3/p-3 |
| InChIKey | DXHAWILRGQHYAE-UHFFFAOYSA-K |
| Refractive index | (Cal.) |
|---|---|
| Market Analysis Reports |
| List of Reports Available for Thallium(3+) Perchlorate Hydrate (1:3:1) |