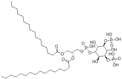
Identification
| Name |
D-Myo-Inositol, 1-(2R)-2,3-Bis(1-Oxohexadecyl)Oxypropyl Hydrogen Phosphate 3,5-Bis(Dihydrogen Phosphate) |
| Synonyms |
[(2R)-2-Hexadecanoyloxy-3-[Hydroxy-[(2R,3R,5S,6R)-2,4,6-Trihydroxy-3,5-Diphosphonooxy-Cyclohexoxy]Phosphoryl]Oxy-Propyl] Hexadecanoate; Hexadecanoic Acid [(2R)-3-[Hydroxy-[(2R,3R,5S,6R)-2,4,6-Trihydroxy-3,5-Diphosphonooxycyclohexoxy]Phosphoryl]Oxy-2-(1-Oxohexadecoxy)Propyl] Ester; Palmitic Acid [(2R)-2-Hexadecanoyloxy-3-[Hydroxy-[(2R,3R,5S,6R)-2,4,6-Trihydroxy-3,5-Diphosphonooxy-Cyclohexoxy]Phosphoryl]Oxy-Propyl] Ester |
|
| Molecular Structure |
 |
| Molecular Formula |
C41H81O19P3 |
| Molecular Weight |
971.00 |
| CAS Registry Number |
214282-36-7 |
| SMILES |
[C@H]1(O[P](O)(O)=O)[C@@H](O)C(O[P](OC[C@H](OC(=O)CCCCCCCCCCCCCCC)COC(=O)CCCCCCCCCCCCCCC)(O)=O)[C@H](O)[C@@H](O[P](O)(O)=O)C1O |
| InChI |
1S/C41H81O19P3/c1-3-5-7-9-11-13-15-17-19-21-23-25-27-29-34(42)55-31-33(57-35(43)30-28-26-24-22-20-18-16-14-12-10-8-6-4-2)32-56-63(53,54)60-41-37(45)39(58-61(47,48)49)36(44)40(38(41)46)59-62(50,51)52/h33,36-41,44-46H,3-32H2,1-2H3,(H,53,54)(H2,47,48,49)(H2,50,51,52)/t33-,36?,37-,38-,39-,40+,41?/m1/s1 |
| InChIKey |
UZMPYXSDDZXMAI-OHKKONBVSA-N |
|