Online Database of Chemicals from Around the World

(4Z,4'Z)-5,5'-[lambda2-铅 二基二(氧基)]二(6,6,7,7,8,8,8-七氟-2,2-二甲基-4-辛烯-3-酮)
[CAS# 21600-78-2]

基本信息
产品名称 (4Z,4'Z)-5,5'-[lambda2-铅 二基二(氧基)]二(6,6,7,7,8,8,8-七氟-2,2-二甲基-4-辛烯-3-酮)
英文名 (4Z,4'Z)-5,5'-[lambda2-Plumbanediylbis(Oxy)]Bis(6,6,7,7,8,8,8-Heptafluoro-2,2-Dimethyl-4-Octen-3-One)
别名 (4Z,4'Z)-5,5'-[λ2-Plumbandiylbis(oxy)]bis(6,6,7,7,8,8,8-heptafluor-2,2-dimethyloct-4-en-3-on); (4Z,4'Z)-5,5'-[λ2-plumbanediylbis(oxy)]bis(6,6,7,7,8,8,8-heptafluoro-2,2-dimethyloct-4-en-3-one)
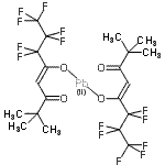
分子结构 CAS 登录号:21600-78-2, (4Z,4'Z)-5,5'-[lambda<sup>2</sup>-铅	二基二(氧基)]二(6,6,7,7,8,8,8-七氟-2,2-二甲基-4-辛烯-3-酮)
分子式 C20H20F14O4Pb
分子量 797.55
CAS 登录号 21600-78-2
分子行输入简码 SMILES CC(C)(C)C(=O)C=C(C(C(C(F)(F)F)(F)F)(F)F)O[Pb]OC(=CC(=O)C(C)(C)C)C(C(C(F)(F)F)(F)F)(F)F
国际化学标识码 InChI 1S/2C10H11F7O2.Pb/c2*1-7(2,3)5(18)4-6(19)8(11,12)9(13,14)10(15,16)17;/h2*4,19H,1-3H3;/q;;+2/p-2/b2*6-4-;
国际化学标识检索码 InChIKey MPJFQMBGGSNRCW-IHJILFKMSA-L
物理化学性质
折射率 (计算值)
市场分析报告
请浏览(4Z,4'Z)-5,5'-[lambda2-铅 二基二(氧基)]二(6,6,7,7,8,8,8-七氟-2,2-二甲基-4-辛烯-3-酮)市场分析报告总目录
相关产品
[(E)-2-(4-硝基苯基)乙烯基]硼酸  二-2-呋喃基膦  1-(5-溴-4-硝基-2-噻吩基)乙酮  2-(4-异氰酸苯基)嘧啶  4-(4-羧基苯基)-2-吡啶羧酸  4-(4-异喹啉基)苯甲酸  4-(2-甲基-6-喹啉基)苯甲酸  4-(8-喹啉基)苯甲酸  4-(3-哒嗪基)苯甲酸  4-(2-吡嗪基)苯甲酸  4-(6-甲基-3-哒嗪基)苯甲酸  3-甲基-4-(2-嘧啶基)苯胺  (2-氧代-1H-吡唑-1-基)(氧代)乙酸  3-羟基-17-氧代雄甾-5-烯-7-基3-苯丙酸...  3-羟基-17-氧代雄甾-5-烯-7-基丙酸酯