Online Database of Chemicals from Around the World

N,N,N,N',N',N'-六甲基-1,2-乙烷二铵二氯化物
[CAS# 23252-62-2]

供应商
CAS#: 23252-62-2
产品: N,N,N,N',N',N'-六甲基-1,2-乙烷二铵二氯化物
暂时没有厂家供应该产品。
基本信息
产品名称 N,N,N,N',N',N'-六甲基-1,2-乙烷二铵二氯化物
英文名 N,N,N,N',N',N'-Hexamethyl-1,2-Ethanediaminium Dichloride
别名 ethylenebis(trimethylammonium) dichloride
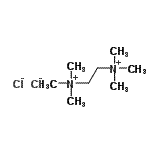
分子结构 CAS 登录号:23252-62-2, N,N,N,N',N',N'-六甲基-1,2-乙烷二铵二氯化物
分子式 C8H22Cl2N2
分子量 217.18
CAS 登录号 23252-62-2
EINECS 登录号 245-525-8
分子行输入简码 SMILES [Cl-].[Cl-].C[N+](C)(C)CC[N+](C)(C)C
国际化学标识码 InChI 1S/C8H22N2.2ClH/c1-9(2,3)7-8-10(4,5)6;;/h7-8H2,1-6H3;2*1H/q+2;;/p-2
国际化学标识检索码 InChIKey CVJXNAGSDFWQFN-UHFFFAOYSA-L
物理化学性质
折射率 (计算值)
市场分析报告
请浏览N,N,N,N',N',N'-六甲基-1,2-乙烷二铵二氯化物市场分析报告总目录
相关产品
5-甲基-4-苯基-1,2-恶唑  铜(2+)硫酸盐  甘氨酰丙氨酸  6-(4-溴苯基)-2-甲基烟酸乙酯  2,2,3,4,4,5,5,6,6,7,8,8,8...  5-甲基-1H-吡唑并[1,5-a]苯并咪唑  3-羟基-5-({[(2-甲基-2-丙基)氧基]羰...  2-亚氨基甲酰胺基-5-甲基-1,3-噻唑-4-羧...  叔-丁基N-(4-乙酰基苯基)氨基甲酸酯  2-甲基-2-丙基[4-(1-羟基乙基)苯基]氨基...  2,6-二甲基-1H-苯并咪唑-5-胺  2,5,6-三甲基-1H-苯并咪唑-4-胺  11-(1-哌嗪基)二苯并[b,f][1,4]硫氮...  7-甲基吡唑并[1,5-a]嘧啶-3-胺  5-甲基吡唑并[1,5-a]嘧啶-3-胺