Online Database of Chemicals from Around the World

(4E)-5-(5-乙氧基-3-吡啶基)-N-甲基-4-戊烯-2-胺
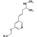
[CAS# 252870-59-0]

供应商
深圳爱拓化学有限公司 中国 询价快递  
+86 13417589054//+86 13424336463
info@atomaxchem.com,atomax.chemicals@gmail.com,
QQ 交流
化学品生产商
基本信息
产品名称 (4E)-5-(5-乙氧基-3-吡啶基)-N-甲基-4-戊烯-2-胺
英文名 (4E)-5-(5-Ethoxy-3-Pyridinyl)-N-Methyl-4-Penten-2-Amine
别名 (E)-5-(5-ethoxypyridin-3-yl)-N-methylpent-4-en-2-amine
分子结构 CAS 登录号:252870-59-0, (4E)-5-(5-乙氧基-3-吡啶基)-N-甲基-4-戊烯-2-胺
分子式 C13H20N2O
分子量 220.31
CAS 登录号 252870-59-0
分子行输入简码 SMILES O(c1cc(cnc1)/C=C/CC(NC)C)CC
国际化学标识码 InChI 1S/C13H20N2O/c1-4-16-13-8-12(9-15-10-13)7-5-6-11(2)14-3/h5,7-11,14H,4,6H2,1-3H3/b7-5+
国际化学标识检索码 InChIKey KJZMFQZAEDAMAE-FNORWQNLSA-N
物理化学性质
密度 0.989g/cm3 (计算值)
沸点 355.282°C at 760 mmHg (计算值)
闪点 168.669°C (计算值)
折射率 1.531 (计算值)
市场分析报告
请浏览(4E)-5-(5-乙氧基-3-吡啶基)-N-甲基-4-戊烯-2-胺市场分析报告总目录
相关产品
3-苯氧基苯磺酰基氯化物  1-(二甲基氨基)-4-甲基-3-戊酮  1,2-二甲基-2,5-环己二烯-1-羧酸  1-(3-甲氧基苯基)丙-2-炔-1-酮  N-[4-(氰基乙酰基)苯基]乙酰胺  2-乙氧基-5-(2-甲基-2-丙基)苯磺酰氯  乙基5-氨基-1-(2-苯基乙基)吡唑-4-羧酸酯  5,6-二脱氧-3-O-[二甲基(2-甲基-2-丙...  1,1,1,2,2,3,3,4,4,5,5,6,6...  N-环戊基乙酰胺  甲基3-(氯甲基)-5-(2-甲基-2-丙基)-2...  3-[3-(氯甲基)-1,2,4-恶二唑-5-基]...  N-[2-(2-氨基乙基氨基)乙基]乙烷-1,2-...  (3R,4R)-4-(乙氧羰基)-1-{[(2-甲...  乙基3-(3-氨基苯基)异烟酸酯