Online Database of Chemicals from Around the World

Alamethicin
[CAS# 27061-78-5]

Suppliers
Apollo Scientific Ltd. UK Inquire  
+44 (161) 406-0505
sales@apolloscientific.co.uk
Chemical manufacturer
BOC Sciences USA Inquire  
+1 (631) 485-4226
info@bocsci.com
Skype Chat
Chemical distributor
chemBlink massive supplier since 2012
Biotrend Chemicals AG Switzerland Inquire  
+41 (44) 805-7676
order@biotrend.ch
Chemical manufacturer
Glentham Life Sciences UK Inquire  
+44 (2033) 978-798
info@glenthamls.com
Chemical distributor since 2013
Interchim Inc. USA Inquire  
+1 (800) 560-8262
web@interchiminc.com
Chemical manufacturer
International Laboratory Limited USA Inquire  
+1 (650) 278-9963
admin@intlab.org
Chemical manufacturer since 2002
LKT Laboratories, Inc. USA Inquire  
+1 (888) 558-5227
peacerli@mbolin-lktlabs.com
Chemical manufacturer
Leawell International Limited Hong Kong Inquire  
+852 2576-0298
enquiry@leawell.com.hk
Chemical distributor
Sarchem Laboratories, Inc. USA Inquire  
+1 (732) 708-1777
sarchem@aol.com
Chemical manufacturer since 1984
Identification
Name Alamethicin
Synonyms (3S,12R)-1-((S)-1-((6S,12S,15S,21S,30S)-1-((R)-1-(2-Acetamido-2-Methylpropanoyl)Pyrrolidin-2-Yl)-15-(3-Amino-3-Oxopropyl)-30-Isobutyl-21-Isopropyl-3,3,6,9,9,2,18,18,24,24,33,33-Dodecamethyl-1,4,7,10,13,16,19,22,25,28,31-Undecaoxo-2,5,8,11,1; Almethicin, Antibiotic U-22324, 6-(2-Methylalanine)-8-L-Leucine-9-De-L-Valine-12-(2-Methylalanine)-13A-Endo-(2-Methylalanine)-18-L-Glutamine-19-(N(1)-(1-(Hydroxymethyl)-3-Methylbutyl)-L-Glutamamide)-]; Ac-2-Meala-L-Pro-2-Meala-L-Ala-2-Meala-L-Ala-L-Glu(NH2)-2-Meala-L-Val-2-Meala-Gly-L-Leu-2-Meala-L-Pro-L-Val-2-Meala-2-Meala-L-Glu-L-Glu(NH2)-Phenylalaninol
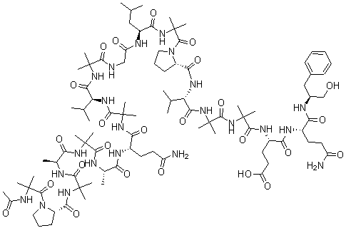
Molecular Structure CAS#: 27061-78-5, Alamethicin
Molecular Formula C92H150N22O25
Molecular Weight 1964.31
CAS Registry Number 27061-78-5
SMILES OC[C@@H](NC(=O)[C@H](NC(=O)[C@H](NC(=O)C(NC(=O)C(NC(=O)[C@H](C(C)C)NC(=O)[C@@H]1CCCN1C(=O)C(NC(=O)[C@@H](NC(=O)CNC(=O)C(NC(=O)[C@H](C(C)C)NC(=O)C(NC(=O)[C@@H](NC(=O)[C@@H](NC(=O)C(NC(=O)[C@@H](NC(=O)C
InChI InChI=1S/C92H150N22O25/c1-47(2)43-58(72(127)108-92(24,25)84(139)113-41-29-33-59(113)73(128)103-65(48(3)4)75(130)111-90(20,21)82(137)112-89(18,19)80(135)102-56(37-40-64(120)121)70(125)101-55(35-38-61(9
Safety Data
SDS Available
Market Analysis Reports
List of Reports Available for Alamethicin
Related Products
5-Bromo-2,4-Dimethyl-Pyridine  1-[(4-Fluorophenyl)Phenylmethyl]-Piperaz...  5-(4-Methoxyphenyl)-1H-Pyrazole-3-Carbox...  1,2,3-Triazole  N-Ethyl-2-Fluoro-Benzenamine  4-(Bromomethyl)Phenol  2-(4-Methylphenyl)-Thiazole  1,2,4,9-Tetrahydro-3H-Indeno[1,2-b]Pyraz...  Octahydro-Cyclopenta[c]Pyrrole-1-Carboxy...  (2S)-N-(Aminocarbonyl)-2-Bromo-3-Methyl-...  3,3,4,5,5,5-Hexafluoro-2-Pentanol  Tert-Butyl 2-[1-(4-Chlorophenyl)-2-Iodo-...  4-Boc-2-(4-Chlorophenyl)-2-Methylmorphol...  4-Boc-2-(4-Fluorophenyl)-2-Methylmorphol...  4-Boc-1-Oxa-4-Azaspiro[5.5]Undecane