Online Database of Chemicals from Around the World

2-羧基阿拉伯糖醇 1,5-二磷酸酯
[CAS# 27442-42-8]

供应商
CAS#: 27442-42-8
产品: 2-羧基阿拉伯糖醇 1,5-二磷酸酯
暂时没有厂家供应该产品。
基本信息
产品名称 2-羧基阿拉伯糖醇 1,5-二磷酸酯
英文名 2-Carboxyarabinitol 1,5-diphosphate
别名 (2R,3R,4R)-2,3,4-Trihydroxy-5-Phosphonooxy-2-(Phosphonooxymethyl)Valeric Acid; 5-O-Phosphono-2-C-[(Phosphonooxy)Methyl]-D-Ribonic Acid; Chebi:41351
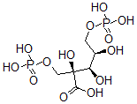
分子结构 CAS 登录号:27442-42-8, 2-羧基阿拉伯糖醇 1,5-二磷酸酯
分子式 C6H14O13P2
分子量 356.12
CAS 登录号 27442-42-8
分子行输入简码 SMILES [C@@](CO[P](O)(O)=O)(C(=O)O)(O)[C@H](O)[C@H](O)CO[P](O)(O)=O
国际化学标识码 InChI 1S/C6H14O13P2/c7-3(1-18-20(12,13)14)4(8)6(11,5(9)10)2-19-21(15,16)17/h3-4,7-8,11H,1-2H2,(H,9,10)(H2,12,13,14)(H2,15,16,17)/t3-,4-,6-/m1/s1
国际化学标识检索码 InChIKey ITHCSGCUQDMYAI-ZMIZWQJLSA-N
物理化学性质
密度 2.138g/cm3 (计算值)
沸点 889.785°C at 760 mmHg (计算值)
闪点 491.924°C (计算值)
市场分析报告
请浏览2-羧基阿拉伯糖醇 1,5-二磷酸酯市场分析报告总目录
相关产品
羧甲基-三甲基-氯化铵  羧甲基-十二烷基-二甲基-铵,...  4-(羧甲基氧基)-5,7-二...  4-[3-[4-(羧甲基氧基)...  2-[2-[4-(羧甲基氧基)...  8-(4-羧甲基氧基)苯基-1...  2-[2-[4-(羧甲基氧基)...  2-(羧甲基氧基)丁二酸  羧甲基亚硝基脲  3-羧甲基组氨酸  (alphaS,2S)-2-羧...  4-羧基-alpha-甲基苯乙...  3-羧基-alpha-甲基苯乙...  N-[2-(羧基氨基)-1,1...  [2-(羧基氨基)-2-丙基]...  3-(羧基氨基)-2-噻吩羧酸  (2S)-2-(羧基氨基)-3...  2-(羧基氨基)-6-氟苯甲酸  4-(羧基氨基)苯甲酸  (羧基氨基)丙二酸