Online Database of Chemicals from Around the World

O-beta-D-甘露糖基-(1-4)-O-beta-D-甘露糖基-(1-4)-D-甘露糖
[CAS# 28173-52-6]

供应商
CAS#: 28173-52-6
产品: O-beta-D-甘露糖基-(1-4)-O-beta-D-甘露糖基-(1-4)-D-甘露糖
暂时没有厂家供应该产品。
基本信息
产品名称 O-beta-D-甘露糖基-(1-4)-O-beta-D-甘露糖基-(1-4)-D-甘露糖
英文名 O-beta-D-Mannopyranosyl-(1-4)-O-beta-D-Mannopyranosyl-(1-4)-D-Mannose
别名 (2S,3S,4R,5R)-4,5,6-Trihydroxy-2,3-Bis[[(2S,3S,4S,5S,6R)-3,4,5-Trihydroxy-6-(Hydroxymethyl)Tetrahydropyran-2-Yl]Oxy]Hexanal; (2S,3S,4R,5R)-4,5,6-Trihydroxy-2,3-Bis[[(2S,3S,4S,5S,6R)-3,4,5-Trihydroxy-6-(Hydroxymethyl)-2-Tetrahydropyranyl]Oxy]Hexanal; (2S,3S,4R,5R)-4,5,6-Trihydroxy-2,3-Bis[[(2S,3S,4S,5S,6R)-3,4,5-Trihydroxy-6-Methylol-Tetrahydropyran-2-Yl]Oxy]Hexanal
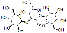
分子结构 CAS 登录号:28173-52-6, O-beta-D-甘露糖基-(1-4)-O-beta-D-甘露糖基-(1-4)-D-甘露糖
分子式 C18H32O16
分子量 504.44
CAS 登录号 28173-52-6
分子行输入简码 SMILES [C@H](C=O)(O[C@H]1[C@@H](O)[C@@H](O)[C@H](O)[C@H](O1)CO)[C@@H](O[C@H]2[C@@H](O)[C@@H](O)[C@H](O)[C@H](O2)CO)[C@H](O)[C@H](O)CO
国际化学标识码 InChI 1S/C18H32O16/c19-1-5(23)9(24)16(34-18-15(30)13(28)11(26)7(3-21)32-18)8(4-22)33-17-14(29)12(27)10(25)6(2-20)31-17/h4-21,23-30H,1-3H2/t5-,6-,7-,8-,9-,10-,11-,12+,13+,14+,15+,16-,17+,18+/m1/s1
国际化学标识检索码 InChIKey OXEVOBRQLSFMMV-WPNFGHGHSA-N
物理化学性质
密度 1.752g/cm3 (计算值)
沸点 968.538°C at 760 mmHg (计算值)
闪点 332.917°C (计算值)
市场分析报告
请浏览O-beta-D-甘露糖基-(1-4)-O-beta-D-甘露糖基-(1-4)-D-甘露糖市场分析报告总目录
相关产品
2-[(1-氨基-9,10-二氢-4-羟基-9,1...  2-[2-(苯亚磺酰)乙氧基]-5-羟基-苯甲酰胺  2-(2-苄基硫基乙氧基)-5-羟基-苯甲酰胺  N-[2-[[(苯氧基)羰基]硫代]乙基]氨基甲酸...  N-[2-[[(丁硫基)羰基]硫代]乙基]硫代氨基...  氨基膦酸  4-吗啉-4-基-2-(2-吗啉-4-基乙基)-2...  4,6-二甲基-1H-嘧啶-2-硫酮盐酸盐  5-(3-(2-氯乙基)三氮烯-1-基)咪唑-4-...  4-(1-环己-3-烯基)丁-3-烯-2-酮  2-(2,4,5-三氯苯氧基)丙酸钾  1,3-二氢-1,3-二氧代异苯并呋喃-4-磺酸  乙苯噁啶  2-叔-丁基丙烷-1,3-二醇  (2-乙基己基)胍单盐酸盐