Online Database of Chemicals from Around the World

银四苯基卟吩磺酸盐
[CAS# 31006-50-5]

供应商
CAS#: 31006-50-5
产品: 银四苯基卟吩磺酸盐
暂时没有厂家供应该产品。
基本信息
产品名称 银四苯基卟吩磺酸盐
英文名 silver tetraphenylporphine sulfonate
别名 Argentate(4-), ((4,4',4'',4'''-(21H,23H-porphine-5,10,15,20-tetrayl)tetrakis(benzenesulfonato))(6-)-N21,N22,N23,N24)-, (SP-4-1)-; Silver tetraphenylporphine sulfonate
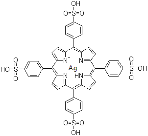
分子结构 CAS 登录号:31006-50-5, 银四苯基卟吩磺酸盐
分子式 C44H24AgN4O12S4
分子量 1036.81
CAS 登录号 31006-50-5
分子行输入简码 SMILES [Ag].[O-]S(=O)(=O)c1ccc(cc1)c3c/9nc(c(c/7nc(c(c5[n-]c(c(c2ccc(cc2)S([O-])(=O)=O)c4[n-]c3cc4)cc5)c6ccc(cc6)S([O-])(=O)=O)\C=C\7)c8ccc(cc8)S([O-])(=O)=O)\C=C\9
国际化学标识码 InChI 1S/C44H28N4O12S4.Ag/c49-61(50,51)29-9-1-25(2-10-29)41-33-17-19-35(45-33)42(26-3-11-30(12-4-26)62(52,53)54)37-21-23-39(47-37)44(28-7-15-32(16-8-28)64(58,59)60)40-24-22-38(48-40)43(36-20-18-34(41)46-36)27-5-13-31(14-6-27)63(55,56)57;/h1-24H,(H,49,50,51)(H,52,53,54)(H,55,56,57)(H,58,59,60);/q-2;/p-4/b41-33-,41-34-,42-35-,42-37-,43-36-,43-38-,44-39-,44-40-;
国际化学标识检索码 InChIKey HNKDJYCINWSNEB-DAJBKUBHSA-J
市场分析报告
请浏览银四苯基卟吩磺酸盐市场分析报告总目录
相关产品
1-(3,3-二甲氧基丙基)哌啶  2-(4-甲氧基苯基)-1,4-苯醌  5'-O-[羟基(2-甲基-1H-咪唑-1-基)磷...  (6aR,10E,11aS,11bR)-10-(1...  1-异氰基-2,4-二甲基苯  N-甲基[1,3]恶唑并[5,4-d]嘧啶-7-胺  8-异氰基喹啉  (12-甲基-7-四苯基)甲基苯甲酸酯  (1S,1'S,10R,10'R,11S,11'S...  3-氧代孕甾-4-烯-21-腈  2-乙酰氨基-2-脱氧-D-吡喃半乳糖  1-氮杂双环[3.3.3]十一烷  N-[2-甲基-3-(三甲基硅烷基)丙基]-1,2...  5-羟基-4-氧代-2-苯基-4H-苯并吡喃-7-...  (3R,4S,5R,6R)-6-[(3-氨基-2-...