基本信息
| 产品名称 |
3,3',3'',3'''-(3,8,13,18-四甲基-5,10,15,20,22,24-六氢卟啉-2,7,12,17-四基)四丙酸 |
| 英文名 |
3,3',3'',3'''-(3,8,13,18-Tetramethyl-5,10,15,20,22,24-Hexahydroporphyrin-2,7,12,17-Tetrayl)Tetrapropanoic Acid |
| 别名 |
1CP; 3,8,13,18-tetramethyl-5,10,15,20,22,24-hexahydroporphyrin-2,7,12,17-tetrapropanoic acid |
|
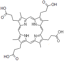
| 分子结构 |
 |
| 分子式 |
C36H44N4O8 |
| 分子量 |
660.76 |
| CAS 登录号 |
31110-56-2 |
| 分子行输入简码 SMILES |
O=C(O)CCc1c(c5nc1Cc2nc(c(c2C)CCC(=O)O)Cc3c(c(c(n3)Cc4c(c(c(n4)C5)CCC(=O)O)C)CCC(=O)O)C)C |
| 国际化学标识码 InChI |
1S/C36H44N4O8/c1-17-21(5-9-33(41)42)29-14-26-19(3)23(7-11-35(45)46)31(39-26)16-28-20(4)24(8-12-36(47)48)32(40-28)15-27-18(2)22(6-10-34(43)44)30(38-27)13-25(17)37-29/h37-40H,5-16H2,1-4H3,(H,41,42)(H,43,44)(H,45,46)(H,47,48) |
| 国际化学标识检索码 InChIKey |
WIUGGJKHYQIGNH-UHFFFAOYSA-N |
|