Online Database of Chemicals from Around the World

丙烯酸;N-(二甲基氨基甲基)丙-2-烯酰胺;丙-2-烯酰胺
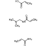
[CAS# 31132-30-6]

供应商
CAS#: 31132-30-6
产品: 丙烯酸;N-(二甲基氨基甲基)丙-2-烯酰胺;丙-2-烯酰胺
暂时没有厂家供应该产品。
基本信息
产品名称 丙烯酸;N-(二甲基氨基甲基)丙-2-烯酰胺;丙-2-烯酰胺
英文名 Acrylic Acid; N-(Dimethylaminomethyl)Prop-2-Enamide; Prop-2-Enamide
别名 acrylic acid; n-(dimethylaminomethyl)prop-2-enamide; prop-2-enamide
分子结构 CAS 登录号:31132-30-6, 丙烯酸;N-(二甲基氨基甲基)丙-2-烯酰胺;丙-2-烯酰胺
分子式 C12H21N3O4
分子量 271.31
CAS 登录号 31132-30-6
分子行输入简码 SMILES O=C(\C=C)N.O=C(\C=C)NCN(C)C.O=C(O)\C=C
国际化学标识码 InChI 1S/C6H12N2O.C3H5NO.C3H4O2/c1-4-6(9)7-5-8(2)3;2*1-2-3(4)5/h4H,1,5H2,2-3H3,(H,7,9);2H,1H2,(H2,4,5);2H,1H2,(H,4,5)
国际化学标识检索码 InChIKey ZJCLPNGZKMZRMW-UHFFFAOYSA-N
物理化学性质
沸点 242.6°C at 760 mmHg (计算值)
闪点 100.5°C (计算值)
市场分析报告
请浏览丙烯酸;N-(二甲基氨基甲基)丙-2-烯酰胺;丙-2-烯酰胺市场分析报告总目录
相关产品
乙基(1R,2R)-2-异硫氰酸基环戊烷羧酸酯  甲基2-烯丙基-L-丝氨酸酯  6-氟-2-喹喔啉甲醛  2-甲基-2-丙基(1H-1,2,4-三唑-5-基...  8-[(2E)-3-碘-2-丙烯-1-基]-3-(...  3,5-二碘-O-[3-碘-4-(磺基氧基)苯基]...  2-喹啉胺  9,10-二氯十八烷酸  南烛醇-A  5-溴-N-甲基-2-糠酰胺  5-溴-N,N-二甲基-2-糠酰胺  5-溴-N-(4-甲氧基苯基)-2-糠酰胺  6,7,13,14-四氧杂二螺[4.2.4.2]十...  (R)-环己基(苯基)甲醇  1-[(4-氯苄基)氧基]-2,4-咪唑烷二酮