Online Database of Chemicals from Around the World

甲基7,8,12,13-四[(三甲基硅烷基)氧基]硬脂酸酯
[CAS# 35437-12-8]

供应商
Achemica 瑞士 询价快递  
+41 (24) 466-2929
contact@achemica.com
化学品生产商(2010 年起)
基本信息
产品名称 甲基7,8,12,13-四[(三甲基硅烷基)氧基]硬脂酸酯
英文名 Methyl 7,8,12,13-Tetrakis[(Trimethylsilyl)Oxy]Octadecanoate
别名 Methyl 7,8,12,13-tetrakis[(trimethylsilyl)oxy]octadecanoate #
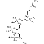
分子结构 CAS 登录号:35437-12-8, 甲基7,8,12,13-四[(三甲基硅烷基)氧基]硬脂酸酯
分子式 C31H70O6Si4
分子量 651.23
CAS 登录号 35437-12-8
分子行输入简码 SMILES O=C(OC)CCCCCC(O[Si](C)(C)C)C(O[Si](C)(C)C)CCCC(O[Si](C)(C)C)C(O[Si](C)(C)C)CCCCC
国际化学标识码 InChI 1S/C31H70O6Si4/c1-15-16-18-22-27(34-38(3,4)5)29(36-40(9,10)11)24-21-25-30(37-41(12,13)14)28(35-39(6,7)8)23-19-17-20-26-31(32)33-2/h27-30H,15-26H2,1-14H3
国际化学标识检索码 InChIKey OLRCGWNXIZTGHI-UHFFFAOYSA-N
物理化学性质
密度 0.913g/cm3 (计算值)
沸点 539.601°C at 760 mmHg (计算值)
闪点 232.683°C (计算值)
市场分析报告
请浏览甲基7,8,12,13-四[(三甲基硅烷基)氧基]硬脂酸酯市场分析报告总目录
相关产品
甲基6,7,12,13-四[(三甲基硅烷基)氧基]...  4-O-己糖吡喃糖苷吡喃己糖  (1S,2R,3S,4R)-4,5-二乙酰氧基-1...  7-氨基-3-硝基-1-萘磺酸  (5-氯-2-甲基-4-氨基磺酰基苯基)氨基甲酸乙...  3-[(4-氨基苯基)磺酰基]苯胺  1-溴-1,1-二氯-2,2,2-三氟乙烷  2-(3-氨基-5-甲氧基苯基)乙醇  2-(5-氨基-2-甲氧基苯基)乙醇  6-(甲氧基甲基)-2-吡啶羧酸  4-(甲氧基甲基)-2-吡啶羧酸  (3-甲氧基-5-硝基苯基)甲醇  (2E)-3-(3-溴-4-乙氧基-5-甲氧基苯基...  4-氨基-7,7-二甲基-7,8-二氢-5(6H)...  1-(4-异丁氧基苯基)-1-丙酮