Online Database of Chemicals from Around the World

(2R,3S,4S,5S,6R)-2-[(2R,3R,4S,5S,6R)-3-羟基-2-(羟基甲基)-5,6-二[[(2R,3S,4S,5S,6R)-3,4,5-三羟基-6-(羟基甲基)四氢吡喃-2-基]氧基]四氢吡喃-4-基]氧基-6-(羟基甲基)四氢吡喃-3,4,5-三醇
[CAS# 3634-02-4]

供应商
CAS#: 3634-02-4
产品: (2R,3S,4S,5S,6R)-2-[(2R,3R,4S,5S,6R)-3-羟基-2-(羟基甲基)-5,6-二[[(2R,3S,4S,5S,6R)-3,4,5-三羟基-6-(羟基甲基)四氢吡喃-2-基]氧基]四氢吡喃-4-基]氧基-6-(羟基甲基)四氢吡喃-3,4,5-三醇
暂时没有厂家供应该产品。
基本信息
产品名称 (2R,3S,4S,5S,6R)-2-[(2R,3R,4S,5S,6R)-3-羟基-2-(羟基甲基)-5,6-二[[(2R,3S,4S,5S,6R)-3,4,5-三羟基-6-(羟基甲基)四氢吡喃-2-基]氧基]四氢吡喃-4-基]氧基-6-(羟基甲基)四氢吡喃-3,4,5-三醇
英文名 (2R,3S,4S,5S,6R)-2-[(2R,3R,4S,5S,6R)-3-Hydroxy-2-(Hydroxymethyl)-5,6-Bis[[(2R,3S,4S,5S,6R)-3,4,5-Trihydroxy-6-(Hydroxymethyl)Oxan-2-Yl]Oxy]Oxan-4-Yl]Oxy-6-(Hydroxymethyl)Oxane-3,4,5-Triol
别名 (2R,3S,4S,5S,6R)-2-[(2R,3R,4S,5S,6R)-3-Hydroxy-2-(Hydroxymethyl)-5,6-Bis[[(2R,3S,4S,5S,6R)-3,4,5-Trihydroxy-6-(Hydroxymethyl)Tetrahydropyran-2-Yl]Oxy]Tetrahydropyran-4-Yl]Oxy-6-(Hydroxymethyl)Tetrahydropyran-3,4,5-Triol; (2R,3S,4S,5S,6R)-2-[[(2R,3R,4S,5S,6R)-3-Hydroxy-2-(Hydroxymethyl)-5,6-Bis[[(2R,3S,4S,5S,6R)-3,4,5-Trihydroxy-6-(Hydroxymethyl)-2-Tetrahydropyranyl]Oxy]-4-Tetrahydropyranyl]Oxy]-6-(Hydroxymethyl)Tetrahydropyran-3,4,5-Triol; (2R,3S,4S,5S,6R)-2-[(2R,3R,4S,5S,6R)-3-Hydroxy-2-Methylol-5,6-Bis[[(2R,3S,4S,5S,6R)-3,4,5-Trihydroxy-6-Methylol-Tetrahydropyran-2-Yl]Oxy]Tetrahydropyran-4-Yl]Oxy-6-Methylol-Tetrahydropyran-3,4,5-Triol
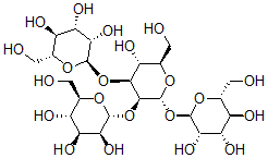
分子结构 CAS 登录号:3634-02-4, (2R,3S,4S,5S,6R)-2-[(2R,3R,4S,5S,6R)-3-羟基-2-(羟基甲基)-5,6-二[[(2R,3S,4S,5S,6R)-3,4,5-三羟基-6-(羟基甲基)四氢吡喃-2-基]氧基]四氢吡喃-4-基]氧基-6-(羟基甲基)四氢吡喃-3,4,5-三醇
分子式 C24H42O21
分子量 666.58
CAS 登录号 3634-02-4
分子行输入简码 SMILES [C@H]3(O[C@H]1O[C@@H]([C@@H](O)[C@H](O)[C@@H]1O)CO)[C@@H](O[C@H]2O[C@@H]([C@@H](O)[C@H](O)[C@@H]2O)CO)[C@H](O)[C@H](O[C@@H]3O[C@H]4O[C@@H]([C@@H](O)[C@H](O)[C@@H]4O)CO)CO
国际化学标识码 InChI 1S/C24H42O21/c25-1-5-9(29)13(33)16(36)21(39-5)43-19-12(32)8(4-28)42-24(45-23-18(38)15(35)11(31)7(3-27)41-23)20(19)44-22-17(37)14(34)10(30)6(2-26)40-22/h5-38H,1-4H2/t5-,6-,7-,8-,9-,10-,11-,12-,13+,14+,15+,16+,17+,18+,19+,20+,21-,22-,23-,24-/m1/s1
国际化学标识检索码 InChIKey RNDXVZITNYDUMC-YLYXQHNGSA-N
物理化学性质
密度 1.837g/cm3 (计算值)
沸点 1029.074°C at 760 mmHg (计算值)
闪点 576.163°C (计算值)
市场分析报告
请浏览(2R,3S,4S,5S,6R)-2-[(2R,3R,4S,5S,6R)-3-羟基-2-(羟基甲基)-5,6-二[[(2R,3S,4S,5S,6R)-3,4,5-三羟基-6-(羟基甲基)四氢吡喃-2-基]氧基]四氢吡喃-4-基]氧基-6-(羟基甲基)四氢吡喃-3,4,5-三醇市场分析报告总目录
相关产品
3-(十六烷基氨基)丙腈  1-[4-[4-[1-羟基-2-(4-甲基哌啶-1...  3-氯-1-(4-甲氧基苯基)吡咯烷-2,5-二酮  2-(2,6-二甲基苯氧基)丙基-三甲基铵氯化物水...  4-叔丁基-2-[(5-叔-丁基-2-羟基-3-甲...  二癸基戊二酸酯  二己基戊二酸酯  2-(苯氧基)苯甲酸  N-(4,6,11-三氧杂-1-氮杂-5-硅杂双环...  二丙-2-基5,5,5-三氯戊基磷酸酯  2-羟基苯甲酸;N-丙-2-基丙-2-胺  2-(2-硫代-3H-1,3-噻唑-4-基)乙酸  二(2-甲基丙基)2,2,2-三氯乙基磷酸酯  10-乙基-N,N,N',N'-四甲基吖啶-10-...  N,N,N',N'-四甲基-10-丙基吖啶-10-...