Online Database of Chemicals from Around the World

N-[3-[(2S,5S,11S,17S)-5,17-Bis[3-(Acetyl-Hydroxyamino)Propyl]-11-(Hydroxymethyl)-3,6,9,12,15,18-Hexaoxo-1,4,7,10,13,16-Hexazacyclooctadec-2-Yl]Propyl]-N-Hydroxyacetamide
[CAS# 37279-99-5]

Suppliers
CAS#: 37279-99-5
Product: N-[3-[(2S,5S,11S,17S)-5,17-Bis[3-(Acetyl-Hydroxyamino)Propyl]-11-(Hydroxymethyl)-3,6,9,12,15,18-Hexaoxo-1,4,7,10,13,16-Hexazacyclooctadec-2-Yl]Propyl]-N-Hydroxyacetamide
No suppilers available for the product.
Identification
Name N-[3-[(2S,5S,11S,17S)-5,17-Bis[3-(Acetyl-Hydroxyamino)Propyl]-11-(Hydroxymethyl)-3,6,9,12,15,18-Hexaoxo-1,4,7,10,13,16-Hexazacyclooctadec-2-Yl]Propyl]-N-Hydroxyacetamide
Synonyms N-[3-[(2S,5S,11S,17S)-5,17-Bis[3-(Acetyl-Hydroxy-Amino)Propyl]-11-(Hydroxymethyl)-3,6,9,12,15,18-Hexaoxo-1,4,7,10,13,16-Hexazacyclooctadec-2-Yl]Propyl]-N-Hydroxy-Acetamide; N-[3-[(2S,5S,11S,17S)-5,17-Bis[3-(Acetyl-Hydroxy-Amino)Propyl]-3,6,9,12,15,18-Hexaketo-11-Methylol-1,4,7,10,13,16-Hexazacyclooctadec-2-Yl]Propyl]-N-Hydroxy-Acetamide; N-[3-[(2S,5S,11S,17S)-5,17-Bis[3-(Ethanoyl-Hydroxy-Amino)Propyl]-11-(Hydroxymethyl)-3,6,9,12,15,18-Hexaoxo-1,4,7,10,13,16-Hexazacyclooctadec-2-Yl]Propyl]-N-Hydroxy-Ethanamide
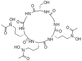
Molecular Structure CAS#: 37279-99-5, N-[3-[(2S,5S,11S,17S)-5,17-Bis[3-(Acetyl-Hydroxyamino)Propyl]-11-(Hydroxymethyl)-3,6,9,12,15,18-Hexaoxo-1,4,7,10,13,16-Hexazacyclooctadec-2-Yl]Propyl]-N-Hydroxyacetamide
Molecular Formula C28H47N9O13
Molecular Weight 717.73
CAS Registry Number 37279-99-5
SMILES [C@H]1(NC(=O)[C@@H](NC(=O)[C@@H](NC(=O)CNC(=O)[C@@H](NC(=O)CNC1=O)CO)CCCN(O)C(=O)C)CCCN(O)C(=O)C)CCCN(O)C(=O)C
InChI 1S/C28H47N9O13/c1-16(39)35(48)10-4-7-19-25(44)29-14-24(43)32-22(15-38)26(45)30-13-23(42)31-20(8-5-11-36(49)17(2)40)27(46)34-21(28(47)33-19)9-6-12-37(50)18(3)41/h19-22,38,48-50H,4-15H2,1-3H3,(H,29,44)(H,30,45)(H,31,42)(H,32,43)(H,33,47)(H,34,46)/t19-,20-,21-,22-/m0/s1
InChIKey JXJRJDNSPWNZOK-CMOCDZPBSA-N
Market Analysis Reports
List of Reports Available for N-[3-[(2S,5S,11S,17S)-5,17-Bis[3-(Acetyl-Hydroxyamino)Propyl]-11-(Hydroxymethyl)-3,6,9,12,15,18-Hexaoxo-1,4,7,10,13,16-Hexazacyclooctadec-2-Yl]Propyl]-N-Hydroxyacetamide
Related Products
(3S)-3,6-Diamino-N-[[(2S,5S,8Z,11S,15S)-...  Hexanoyl Fluoride  Methyl-Oxirane polymer with oxirane, pho...  1-Butoxypropan-2-Yl (Z)-Octadec-9-Enoate  4-[4-[4-(4-Hydroxybutoxycarbonyl)Benzoyl...  1-Fluoro-4-Nitrobutane  1-Fluoro-4-Iodobutane  4-(2- fluorophenyl)-6,8-dihydro-1,3,8-tr...  Gas hypoxic mixture (nitrogen with oxyge...  Silicic acid calcium iron magnesium salt  Bleomycin A6  Gratisin  Polypropylene glycol, polymer with bisph...  Sodium 2-Methoxyethanolate  Eupalmerin acetate