Online Database of Chemicals from Around the World

Adenosylcobalamin 5'-Phosphate
[CAS# 39044-48-9]

Suppliers
CAS#: 39044-48-9
Product: Adenosylcobalamin 5'-Phosphate
No suppilers available for the product.
Identification
Name Adenosylcobalamin 5'-Phosphate
Synonyms Adocbl-5'P; Cobamamide 5'-Phosphate; Cobinamide, Co-(5'-Deoxyadenosine-5') Deriv., Hydroxide, Dihydrogen Phosphate (Ester), Inner Salt, 3'-Ester With 5,6-Dimethyl-1-(5-O-Phosphono-Alpha-D-Ribofuranosyl)-1H-Benzimidazole
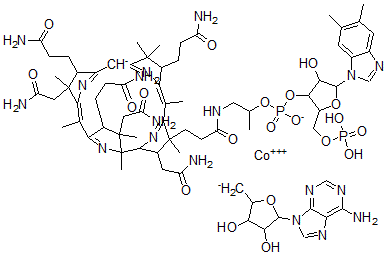
Molecular Structure CAS#: 39044-48-9, Adenosylcobalamin 5'-Phosphate
Molecular Formula C72H101CoN18O20P2
Molecular Weight 1659.58
CAS Registry Number 39044-48-9
SMILES [Co+3].N1=C7C(C(C1(C2N=C(C(C2CC(=O)N)(CCC(=O)NCC(O[P](OC3C(O)C(OC3CO[P](=O)(O)O)[N]5C4=CC(=C(C=C4N=C5)C)C)([O-])=O)C)C)C(=C6N=C(C(C6CCC(=O)N)(C)C)[CH-]C8=NC(=C7C)C(C8CCC(=O)N)(CC(=O)N)C)C)C)(CC(=O)N)C)CCC(=O)N.[CH2-]C%11OC([N]%10C9=NC=NC(=C9N=C%10)N)C(O)C%11O
InChI 1S/C62H90N13O17P2.C10H12N5O3.Co/c1-29-20-39-40(21-30(29)2)75(28-70-39)57-52(83)53(41(90-57)27-89-93(84,85)86)92-94(87,88)91-31(3)26-69-49(82)18-19-59(8)37(22-46(66)79)56-62(11)61(10,25-48(68)81)36(14-17-45(65)78)51(74-62)33(5)55-60(9,24-47(67)80)34(12-15-43(63)76)38(71-55)23-42-58(6,7)35(13-16-44(64)77)50(72-42)32(4)54(59)73-56;1-4-6(16)7(17)10(18-4)15-3-14-5-8(11)12-2-13-9(5)15;/h20-21,23,28,31,34-37,41,52-53,56-57,83H,12-19,22,24-27H2,1-11H3,(H2,63,76)(H2,64,77)(H2,65,78)(H2,66,79)(H2,67,80)(H2,68,81)(H,69,82)(H,87,88)(H2,84,85,86);2-4,6-7,10,16-17H,1H2,(H2,11,12,13);/q2*-1;+3/p-1
InChIKey DMRQOCLCZRHBEY-UHFFFAOYSA-M
Market Analysis Reports
List of Reports Available for Adenosylcobalamin 5'-Phosphate
Related Products
Titanium(+4) Cation 7,7-Dimethyloctanoat...  (3E)-3-(2-Chlorobenzo[c][1]Benzazepin-11...  3-(6,11-Dihydro-5H-Benzo[c][1]Benzazepin...  3-Nitro-2-[[3-(Trifluoromethyl)Phenyl]Am...  2-(1-Cyclohex-3-Enyl)Ethyl Acetate  4-Amino-1-[(2R,5R)-5-Hydroxyoxan-2-Yl]Py...  3-Amino-4-(2-Amino-4-Sulfamoylphenyl)Dis...  5-Hydroxy-2-[[3-(Trifluoromethyl)Phenyl]...  2-[[4-Hydroxy-3-(Trifluoromethyl)Phenyl]...  4-Azido-2,3,5,6-Tetrafluoropyridine  2,4-Dimethyl-6-Propylcyclohex-3-Ene-1-Ca...  2,2-Dimethyl-3-Pyrrolidin-1-Ylpropan-1-O...  Sodium 2-Tert-Butylphenolate  2-Fluoroterephthalic Acid  Methyl 2-Dimethylamino-2-Phenylbutanoate