Online Database of Chemicals from Around the World

Tetradecahydro-Amphotericin B
[CAS# 40904-73-2]

Suppliers
CAS#: 40904-73-2
Product: Tetradecahydro-Amphotericin B
No suppilers available for the product.
Identification
Name Tetradecahydro-Amphotericin B
Synonyms (1S,3S,18S,19R,20R,21S,25R,27R,30R,31R,33S,35R,37S,38R)-3-[(2R,3S,4S,5S,6R)-4-Amino-3,5-Dihydroxy-6-Methyl-Tetrahydropyran-2-Yl]Oxy-19,25,27,30,31,33,35,37-Octahydroxy-18,20,21-Trimethyl-23-Oxo-22,39-Dioxabicyclo[33.3.1]Nonatriacontane-38-Carboxylic Acid; (1S,3S,18S,19R,20R,21S,25R,27R,30R,31R,33S,35R,37S,38R)-3-[[(2R,3S,4S,5S,6R)-4-Amino-3,5-Dihydroxy-6-Methyl-2-Tetrahydropyranyl]Oxy]-19,25,27,30,31,33,35,37-Octahydroxy-18,20,21-Trimethyl-23-Oxo-22,39-Dioxabicyclo[33.3.1]Nonatriacontane-38-Carboxylic Acid; (1S,3S,18S,19R,20R,21S,25R,27R,30R,31R,33S,35R,37S,38R)-3-[(2R,3S,4S,5S,6R)-4-Amino-3,5-Dihydroxy-6-Methyl-Tetrahydropyran-2-Yl]Oxy-19,25,27,30,31,33,35,37-Octahydroxy-23-Keto-18,20,21-Trimethyl-22,39-Dioxabicyclo[33.3.1]Nonatriacontane-38-Carboxylic Acid
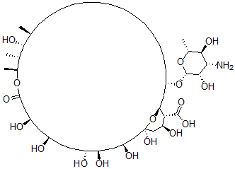
Molecular Structure CAS#: 40904-73-2, Tetradecahydro-Amphotericin B
Molecular Formula C47H87NO17
Molecular Weight 938.20
CAS Registry Number 40904-73-2
SMILES [C@@H]13O[C@@](O)(C[C@H](O)[C@H]1C(=O)O)C[C@@H](O)C[C@@H](O)[C@H](O)CC[C@@H](O)C[C@@H](O)CC(O[C@H]([C@@H]([C@H](O)[C@H](CCCCCCCCCCCCCC[C@H](O[C@@H]2O[C@@H]([C@@H](O)[C@H](N)[C@@H]2O)C)C3)C)C)C)=O
InChI 1S/C47H87NO17/c1-27-17-15-13-11-9-7-5-6-8-10-12-14-16-18-34(64-46-44(58)41(48)43(57)30(4)63-46)24-38-40(45(59)60)37(54)26-47(61,65-38)25-33(51)22-36(53)35(52)20-19-31(49)21-32(50)23-39(55)62-29(3)28(2)42(27)56/h27-38,40-44,46,49-54,56-58,61H,5-26,48H2,1-4H3,(H,59,60)/t27-,28-,29-,30+,31+,32+,33-,34-,35+,36+,37-,38-,40+,41-,42+,43+,44-,46-,47+/m0/s1
InChIKey BYZLGLVPMUDPED-KKGHZKTASA-N
Properties
Density 1.274g/cm3 (Cal.)
Boiling point 1097.086°C at 760 mmHg (Cal.)
Flash point 617.296°C (Cal.)
Market Analysis Reports
List of Reports Available for Tetradecahydro-Amphotericin B
Related Products
2,2'-Oxybis[5,5-Dimethyl-1,3,2-Dioxaphos...  2,2'-Oxybis[5,5-Dimethyl-1,3,2-Dioxaphos...  [Bis[(Trifluoromethyl)Sulphonyl]Methyl]B...  N-[[[(S)-4-[(Aminoiminomethyl)Amino]-1-C...  4-(Butylnitrosoamino)-2-Butanol  Dichloromethyl O,O-Diphenyl Phosphonate  N-Phenyl-N-Vinylacetamide  (3,4,5-Trimethoxybenzoyl)Amino]Acetic Ac...  Bis[(R)-(Isopropyl)(beta,3,4-Trihydroxyp...  2-[(2-Chlorophenyl)Methyl]Propanedinitri...  2-Methyl-2-[4-[5-(3-Pyridinyl)-1,2,4-Oxa...  6-(1,1-Dimethylethyl)-3-Isopropylisothia...  3-Chloro-1-Phenothiazin-10-Yl-Propan-1-O...  Disodium 4-Allyl 2-Sulphonatosuccinate  Ribavirin-5'-Phosphate