Online Database of Chemicals from Around the World

N-(1-乙基-4-哌啶基)-N,N',N'-三甲基-1,2-乙二胺
[CAS# 415969-86-7]

供应商
深圳爱拓化学有限公司 中国 询价快递  
+86 13417589054//+86 13424336463
info@atomaxchem.com,atomax.chemicals@gmail.com,
QQ 交流
化学品生产商
ChemBridge Corporation 美国 询价快递  
+1 (858) 451-7400
sales@chembridge.com
化学品生产商
基本信息
产品名称 N-(1-乙基-4-哌啶基)-N,N',N'-三甲基-1,2-乙二胺
英文名 N-(1-Ethyl-4-Piperidinyl)-N,N',N'-Trimethyl-1,2-Ethanediamine
别名 N-(1-ethyl-4-piperidinyl)-N,N',N'-trimethyl-1,2-ethanediamine; N1-(1-ethylpiperidin-4-yl)-N1,N2,N2-trimethylethane-1,2-diamine
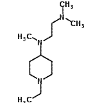
分子结构 CAS 登录号:415969-86-7, N-(1-乙基-4-哌啶基)-N,N',N'-三甲基-1,2-乙二胺
分子式 C12H27N3
分子量 213.36
CAS 登录号 415969-86-7
分子行输入简码 SMILES N(C1CCN(CC)CC1)(CCN(C)C)C
国际化学标识码 InChI 1S/C12H27N3/c1-5-15-8-6-12(7-9-15)14(4)11-10-13(2)3/h12H,5-11H2,1-4H3
国际化学标识检索码 InChIKey AXLFKMLHYHCNBH-UHFFFAOYSA-N
物理化学性质
密度 0.934g/cm3 (计算值)
沸点 261.627°C at 760 mmHg (计算值)
闪点 99.198°C (计算值)
折射率 1.5 (计算值)
市场分析报告
请浏览N-(1-乙基-4-哌啶基)-N,N',N'-三甲基-1,2-乙二胺市场分析报告总目录
相关产品
1-乙基-4-(3-甲基环己基)哌嗪  N-[(5-硝基-2-吡啶基)氧基]-2-丙亚胺  N-羟基-5-硝基-2-吡啶胺  (2Z)-1,2,4-三氯-2-丁烯  3-丙氧基-1-丙醇  5-氨基-1H-吡唑-4-甲酰肼  1-(2-甲基-5,6-二氢-1,4-氧硫杂环己二...  6-甲氧基己烷酸  (5Z)-7-{(1R,2R,3R,5S)-3,5...  N-异丙基-N-硝基-2-丙胺  N,N-二乙基-2-(1-萘基氧基)丙酰胺  (2S)-N,N-二乙基-2-(1-萘基氧基)丙酰...  5,5-二甲基四氢-3-呋喃甲酰氯  甲基(3S,7aS)-六氢-1H-吡咯里嗪-3-羧...  甲基(3R,7aS)-六氢-1H-吡咯里嗪-3-羧...