基本信息
| 产品名称 |
3-(庚氧基亚氨基甲基)利福霉素 |
| 英文名 |
3-(Heptyloxyiminomethyl)Rifamycin |
| 别名 |
2,7-(Epoxypentadeca(1,11,13)Trienimino)Naphtho(2,1-B)Furan-1,11(2H)-Dione, 3-Formyl-5,6,9,17,19,21-Hexahydroxy-23-Methoxy-2,4,12,16,18,20,22-Heptamethyl-, 21-Acetate, O-Heptyloxime; 3-Formylrifamycin Sv O-Heptyloxime |
|
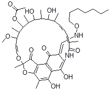
| 分子结构 |
 |
| 分子式 |
C45H62N2O13 |
| 分子量 |
838.99 |
| CAS 登录号 |
41776-57-2 |
| 分子行输入简码 SMILES |
C(CCON/C=C2/C(=O)C1=C3C(=C(C4=C1C(=O)C(O/C=C/C(OC)C(C(OC(=O)C)C(C(O)C(C(O)C(C)\C=C\C=C(C(=O)NC2=C3O)\C)C)C)C)(O4)C)C)O)CCCC |
| 国际化学标识码 InChI |
1S/C45H62N2O13/c1-11-12-13-14-15-20-58-46-22-30-35-40(53)33-32(39(30)52)34-42(28(7)38(33)51)60-45(9,43(34)54)57-21-19-31(56-10)25(4)41(59-29(8)48)27(6)37(50)26(5)36(49)23(2)17-16-18-24(3)44(55)47-35/h16-19,21-23,25-27,31,36-37,41,46,49-51,53H,11-15,20H2,1-10H3,(H,47,55)/b17-16+,21-19+,24-18-,30-22+ |
| 国际化学标识检索码 InChIKey |
RUAVWICYLLBUGG-NBOZXVELSA-N |
|