Online Database of Chemicals from Around the World

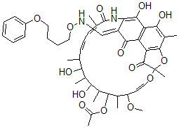
3-[(4-苯氧基丁氧基)亚氨基甲基]利福霉素
[CAS# 41970-81-4]

供应商
CAS#: 41970-81-4
产品: 3-[(4-苯氧基丁氧基)亚氨基甲基]利福霉素
暂时没有厂家供应该产品。
基本信息
产品名称 3-[(4-苯氧基丁氧基)亚氨基甲基]利福霉素
英文名 3-[(4-Phenoxybutoxy)Iminomethyl]Rifamycin
别名 3-Formylrifamycin Sv O-(4-Phenoxybutyl)Oxime; Brn 5418900
分子结构 CAS 登录号:41970-81-4, 3-[(4-苯氧基丁氧基)亚氨基甲基]利福霉素
分子式 C48H60N2O14
分子量 889.01
CAS 登录号 41970-81-4
分子行输入简码 SMILES C5=C(OCCCCON/C=C2/C(=O)C1=C3C(=C(C4=C1C(=O)C(O/C=C/C(OC)C(C(OC(=O)C)C(C(O)C(C(O)C(C)\C=C\C=C(C(=O)NC2=C3O)\C)C)C)C)(O4)C)C)O)C=CC=C5
国际化学标识码 InChI 1S/C48H60N2O14/c1-25-16-15-17-26(2)47(58)50-38-33(24-49-62-22-14-13-21-60-32-18-11-10-12-19-32)42(55)35-36(43(38)56)41(54)30(6)45-37(35)46(57)48(8,64-45)61-23-20-34(59-9)27(3)44(63-31(7)51)29(5)40(53)28(4)39(25)52/h10-12,15-20,23-25,27-29,34,39-40,44,49,52-54,56H,13-14,21-22H2,1-9H3,(H,50,58)/b16-15+,23-20+,26-17-,33-24+
国际化学标识检索码 InChIKey RNRXYPZQEAEIMY-PFKAGWKBSA-N
市场分析报告
请浏览3-[(4-苯氧基丁氧基)亚氨基甲基]利福霉素市场分析报告总目录
相关产品
3-[(2,4-二氯苄氧基)亚氨基甲基]利福霉素 ...  10-[2-(二甲基氨基)乙基]-5H-二苯并[b...  2-[(4-氯-6-甲氧基-1,3,5-三嗪-2-...  2-丁基氢醌  2-丁基对苯醌  1-丁基-1-甲基-2-丙基环丙烷  1-甲基-1-(1-甲基乙基)-2-壬基环丙烷  1-甲基-1-(2-甲基丙基)-2-壬基环丙烷  7-戊基双环[4.1.0]庚烷  2-异丁基对苯醌  哌啶-2,6-二甲腈  5,5'-(丙烷-1,3-二基)二咪唑烷-2,4-...  4-丙基噻唑  2-甲基-4-丙基噻唑  4,5-二甲基-2-丙基噻唑