Online Database of Chemicals from Around the World

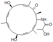
N-[(1R,2E,4E,6S,8E,10E,12S,14E,17S)-6,12-Dihydroxy-3,9,15,17-Tetramethyl-16-Oxocycloheptadeca-2,4,8,10,14-Pentene-1-Yl]-2-Hydroxypropanamide
[CAS# 51741-82-3]

Identification
Name N-[(1R,2E,4E,6S,8E,10E,12S,14E,17S)-6,12-Dihydroxy-3,9,15,17-Tetramethyl-16-Oxocycloheptadeca-2,4,8,10,14-Pentene-1-Yl]-2-Hydroxypropanamide
Synonyms N-[(2Z,4Z,6S,8Z,10Z,12S,14Z,17S)-6,12-Dihydroxy-3,9,15,17-Tetramethyl-16-Oxo-1-Cycloheptadeca-2,4,8,10,14-Pentaenyl]-2-Hydroxy-Propanamide; N-[(2Z,4Z,6S,8Z,10Z,12S,14Z,17S)-6,12-Dihydroxy-16-Keto-3,9,15,17-Tetramethyl-1-Cycloheptadeca-2,4,8,10,14-Pentaenyl]-2-Hydroxy-Propionamide; Brn 2954904
Molecular Structure CAS#: 51741-82-3, N-[(1R,2E,4E,6S,8E,10E,12S,14E,17S)-6,12-Dihydroxy-3,9,15,17-Tetramethyl-16-Oxocycloheptadeca-2,4,8,10,14-Pentene-1-Yl]-2-Hydroxypropanamide
Molecular Formula C24H35NO5
Molecular Weight 417.54
CAS Registry Number 51741-82-3
SMILES [C@@H]1(C(NC(=O)C(O)C)\C=C(/C=C\[C@@H](O)C/C=C(\C=C/[C@@H](O)C/C=C(C1=O)/C)C)C)C
InChI 1S/C24H35NO5/c1-15-6-10-20(27)12-8-16(2)14-22(25-24(30)19(5)26)18(4)23(29)17(3)9-13-21(28)11-7-15/h6-9,11-12,14,18-22,26-28H,10,13H2,1-5H3,(H,25,30)/b11-7-,12-8-,15-6-,16-14-,17-9-/t18-,19?,20-,21+,22?/m0/s1
InChIKey WNPBZRKAWLYSOP-FMNDFTDJSA-N
Market Analysis Reports
List of Reports Available for N-[(1R,2E,4E,6S,8E,10E,12S,14E,17S)-6,12-Dihydroxy-3,9,15,17-Tetramethyl-16-Oxocycloheptadeca-2,4,8,10,14-Pentene-1-Yl]-2-Hydroxypropanamide
Related Products
2-Amino-3-Hydroxy-3-Methylbutyric Acid  alpha-Tocopherol linoleate  Minosaminomycin  Strictinin  Methyl 2-Methyl-1,8-Naphthyridin-3-Yl Ke...  Poly(Lysyl-(Leucyl-Poly-Alanine))  1-Methyl-2-(Trimethoxysilyl)Ethyl Methac...  3-Amino-2,6-Dichlorotoluene-4-Sulphonic ...  Isoundecan-1-Ol  2-(2-Chlorophenyl)-3',6'-Bis(Diethylamin...  Potassium Hydroxymethanesulphonate  3-[(2-Ethylhexyl)Oxy]Propylammonium Acet...  5-Methyl-3-Methylene-5-Hexen-2-One  (1R,2S,4R)-rel-Bicyclo[2.2.1]Hept-5-Ene-...  Exo-2-Methyl-Bicyclo[2.2.1]Hept-5-Ene-2-...