Online Database of Chemicals from Around the World

(9E,26E)-26-[(2,2-二辛基肼基)亚甲基]-2,15,17,29-四羟基-11-甲氧基-3,7,12,14,16,18,22-七甲基-6,23,27-三氧代-8,30-二氧杂-24-氮杂四环[23.3.1.14,7.05,28]三十碳-1(28),2,4,9,19,21,25(29)-庚烯-13-基乙酸酯
[CAS# 52474-42-7]

供应商
CAS#: 52474-42-7
产品: (9E,26E)-26-[(2,2-二辛基肼基)亚甲基]-2,15,17,29-四羟基-11-甲氧基-3,7,12,14,16,18,22-七甲基-6,23,27-三氧代-8,30-二氧杂-24-氮杂四环[23.3.1.14,7.05,28]三十碳-1(28),2,4,9,19,21,25(29)-庚烯-13-基乙酸酯
暂时没有厂家供应该产品。
基本信息
产品名称 (9E,26E)-26-[(2,2-二辛基肼基)亚甲基]-2,15,17,29-四羟基-11-甲氧基-3,7,12,14,16,18,22-七甲基-6,23,27-三氧代-8,30-二氧杂-24-氮杂四环[23.3.1.14,7.05,28]三十碳-1(28),2,4,9,19,21,25(29)-庚烯-13-基乙酸酯
英文名 (9E,26E)-26-[(2,2-Dioctylhydrazino)Methylene]-2,15,17,29-Tetrahydroxy-11-Methoxy-3,7,12,14,16,18,22-Heptamethyl-6,23,27-Trioxo-8,30-Dioxa-24-Azatetracyclo[23.3.1.14,7.05,28]Triaconta-1(28),2,4,9,1 9,21,25(29)-Heptaen-13-Yl Acetate
别名 R-8(2); Rifamycin, 3-((dioctylhydrazono)methyl)-
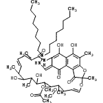
分子结构 CAS 登录号:52474-42-7, (9E,26E)-26-[(2,2-二辛基肼基)亚甲基]-2,15,17,29-四羟基-11-甲氧基-3,7,12,14,16,18,22-七甲基-6,23,27-三氧代-8,30-二氧杂-24-氮杂四环[23.3.1.1<sup>4,7</sup>.0<sup>5,28</sup>]三十碳-1(28),2,4,9,19,21,25(29)-庚烯-13-基乙酸酯
分子式 C54H81N3O12
分子量 964.23
CAS 登录号 52474-42-7
分子行输入简码 SMILES O=C/1c2c4C(=O)C3(O/C=C/C(OC)C(C(OC(=O)C)C(C)C(O)C(C)C(O)C(/C=C\C=C(/C(=O)NC(/C\1=C\NN(CCCCCCCC)CCCCCCCC)=C(\O)c2c(O)c(c4O3)C)C)C)C)C
国际化学标识码 InChI 1S/C54H81N3O12/c1-12-14-16-18-20-22-28-57(29-23-21-19-17-15-13-2)55-31-39-44-49(63)42-41(48(39)62)43-51(37(8)47(42)61)69-54(10,52(43)64)67-30-27-40(66-11)34(5)50(68-38(9)58)36(7)46(60)35(6)45(59)32(3)25-24-26-33(4)53(65)56-44/h24-27,30-32,34-36,40,45-46,50,55,59-61,63H,12-23,28-29H2,1-11H3,(H,56,65)/b25-24+,30-27+,33-26+,39-31+
国际化学标识检索码 InChIKey AZIFRDMLCAMTSI-PXAOSCNFSA-N
物理化学性质
密度 1.208g/cm3 (计算值)
市场分析报告
请浏览(9E,26E)-26-[(2,2-二辛基肼基)亚甲基]-2,15,17,29-四羟基-11-甲氧基-3,7,12,14,16,18,22-七甲基-6,23,27-三氧代-8,30-二氧杂-24-氮杂四环[23.3.1.14,7.05,28]三十碳-1(28),2,4,9,19,21,25(29)-庚烯-13-基乙酸酯市场分析报告总目录
相关产品
1-氨基-3-(甲硫基)环己烷羧酸  (1S,3S)-1-氨基-3-(甲硫基)环戊烷羧酸  (1S,3R)-1-氨基-3-(甲硫基)环戊烷羧酸  4-[(Z)-(4-乙基-3,5-二甲基-2H-吡...  2-氯-4-(3,5-二甲基-1H-吡唑-1-基)...  N-(2-甲酰基苯基)-N-甲基甲酰胺  7-(3,5-二甲氧基苯基)-7-氧代庚酸  6-(3,5-二甲氧基苯基)-6-氧代己酸  甲基alpha-D-呋喃核糖苷  3,4-二氢-1(2H)-薁酮  1-(3-氯-4-甲基苯基)-3-甲氧基-2-咪唑...  (4-羟基苯基)(2-甲基-1-苯并呋喃-3-基)...  3-乙基-2-(2-甲氧基苯基)吡咯烷  3-乙基-2-(4-甲氧基苯基)吡咯烷  1-[2-(3-乙基-2-吡咯烷基)乙基]哌啶