Online Database of Chemicals from Around the World

Antibiotic K 41
[CAS# 53026-37-2]

Suppliers
CAS#: 53026-37-2
Product: Antibiotic K 41
No suppilers available for the product.
Identification
Name Antibiotic K 41
Synonyms (2R)-2-Hydroxy-2-[(2S,3S,4S,5S,6S)-2-Hydroxy-6-[[(2R,3R,4R,5S,7S,9R,10R)-2-[(2R,5S)-5-[(2R,5R)-5-[(2S,3S,4S,5R,6S)-6-Hydroxy-4-[(2R,5S,6R)-5-Methoxy-6-Methyl-Tetrahydropyran-2-Yl]Oxy-3,5,6-Trimethyl-Tetrahydropyran-2-Yl]Tetrahydrofuran-2-Yl]Tetrahydrofuran-2-Yl]-3,9-Dimethoxy-2,4,10-Trimethyl-1,6-Dioxaspiro[4.5]Decan-7-Yl]Methyl]-4,5-Dimethoxy-3,5-Dimethyl-Tetrahydropyran-2-Yl]Acetic Acid; (2R)-2-Hydroxy-2-[(2S,3S,4S,5S,6S)-2-Hydroxy-6-[[(2R,3R,4R,5S,7S,9R,10R)-2-[(2R,5S)-5-[(2R,5R)-5-[(2S,3S,4S,5R,6S)-6-Hydroxy-4-[[(2R,5S,6R)-5-Methoxy-6-Methyl-2-Tetrahydropyranyl]Oxy]-3,5,6-Trimethyl-2-Tetrahydropyranyl]-2-Tetrahydrofuranyl]-2-Tetrahydrofuranyl]-3,9-Dimethoxy-2,4,10-Trimethyl-1,6-Dioxaspiro[4.5]Decan-7-Yl]Methyl]-4,5-Dimethoxy-3,5-Dimethyl-2-Tetrahydropyranyl]Acetic Acid; (2R)-2-Hydroxy-2-[(2S,3S,4S,5S,6S)-2-Hydroxy-6-[[(2R,3R,4R,5S,7S,9R,10R)-2-[(2R,5S)-5-[(2R,5R)-5-[(2S,3S,4S,5R,6S)-6-Hydroxy-4-[(2R,5S,6R)-5-Methoxy-6-Methyl-Oxan-2-Yl]Oxy-3,5,6-Trimethyl-Oxan-2-Yl]Oxolan-2-Yl]Oxolan-2-Yl]-3,9-Dimethoxy-2,4,10-Trimethyl-1,6-Dioxaspiro[4.5]Decan-7-Yl]Methyl]-4,5-Dimethoxy-3,5-Dimethyl-Oxan-2-Yl]Ethanoic Acid
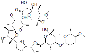
Molecular Structure CAS#: 53026-37-2, Antibiotic K 41
Molecular Formula C48H82O18
Molecular Weight 947.17
CAS Registry Number 53026-37-2
SMILES [C@@]56(O[C@@]([C@@H]4O[C@H]([C@@H]3O[C@@H]([C@H]1O[C@@]([C@H](C)[C@H]([C@@H]1C)O[C@@H]2O[C@H](C)[C@H](CC2)OC)(O)C)CC3)CC4)(C)[C@@H]([C@H]5C)OC)[C@@H]([C@H](OC)C[C@H](O6)C[C@@H]7O[C@@]([C@@H](C)[C@@H]([C@]7(OC)C)OC)([C@H](C(=O)O)O)O)C
InChI 1S/C48H82O18/c1-23-38(62-37-20-18-30(54-10)28(6)59-37)25(3)46(9,52)65-39(23)33-16-15-31(60-33)32-17-19-35(61-32)45(8)42(57-13)27(5)48(66-45)24(2)34(55-11)21-29(63-48)22-36-44(7,58-14)41(56-12)26(4)47(53,64-36)40(49)43(50)51/h23-42,49,52-53H,15-22H2,1-14H3,(H,50,51)/t23-,24+,25+,26-,27+,28+,29-,30-,31+,32-,33+,34+,35+,36-,37-,38-,39-,40-,41-,42+,44-,45+,46-,47-,48-/m0/s1
InChIKey QFHLVPYVNFSTBE-SMAIMEEGSA-N
Properties
Density 1.259g/cm3 (Cal.)
Boiling point 913.758°C at 760 mmHg (Cal.)
Flash point 252.701°C (Cal.)
Market Analysis Reports
List of Reports Available for Antibiotic K 41
Related Products
Acid Blue 74  Ethoxylated methyl D-glucoside  Mannose  Dibromoacetyl Chloride  6-Methoxynaphthalen-1-Amine  7-Methoxynaphthalen-1-Amine  Octyl Laurate  Ethyl 4-Amidinophenylpyruvate  Dihydrotestosterone-17-N-Bis(2-Chloroeth...  Para-Nitrosopropiophenone  4-Aminoheptanoylphenone  S-[2-[3-[[(2R)-4-[[[(2R,3R,5R)-5-(6-Amin...  1,3-Bis[3-[[[[(3,5-Dimethyl-4-Oxocyclohe...  2-[3-(3-Ethyl-3H-Benzothiazol-2-Ylidene)...  3,4,5,6-Tetrahydro-2-(4-Methoxy-alpha-Ph...