Online Database of Chemicals from Around the World

3-O-乙酰基-3-O-去(2,6-二脱氧-3-C-甲基-3-O-甲基-alpha-L-核-己糖吡喃糖苷)红霉素 9-肟
[CAS# 53066-45-8]

供应商
CAS#: 53066-45-8
产品: 3-O-乙酰基-3-O-去(2,6-二脱氧-3-C-甲基-3-O-甲基-alpha-L-核-己糖吡喃糖苷)红霉素 9-肟
暂时没有厂家供应该产品。
基本信息
产品名称 3-O-乙酰基-3-O-去(2,6-二脱氧-3-C-甲基-3-O-甲基-alpha-L-核-己糖吡喃糖苷)红霉素 9-肟
英文名 3-O-Acetyl-3-O-de(2,6-dideoxy-3-C-methyl-3-O-methyl-alpha-L-ribo-hexopyranosyl)erythromycin 9-oxime
别名 [6-(4-Dimethylamino-3-Hydroxy-6-Methyl-Tetrahydropyran-2-Yl)Oxy-14-Ethyl-7,12,13-Trihydroxy-10-Hydroxyimino-3,5,7,9,11,13-Hexamethyl-2-Oxo-1-Oxacyclotetradec-4-Yl] Acetate; Acetic Acid [6-[(4-Dimethylamino-3-Hydroxy-6-Methyl-2-Tetrahydropyranyl)Oxy]-14-Ethyl-7,12,13-Trihydroxy-10-Hydroxyimino-3,5,7,9,11,13-Hexamethyl-2-Oxo-1-Oxacyclotetradec-4-Yl] Ester; Acetic Acid [6-(4-Dimethylamino-3-Hydroxy-6-Methyl-Tetrahydropyran-2-Yl)Oxy-14-Ethyl-10-Hydroximino-7,12,13-Trihydroxy-2-Keto-3,5,7,9,11,13-Hexamethyl-1-Oxacyclotetradec-4-Yl] Ester
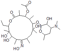
分子结构 CAS 登录号:53066-45-8, 3-O-乙酰基-3-O-去(2,6-二脱氧-3-C-甲基-3-O-甲基-alpha-L-核-己糖吡喃糖苷)红霉素 9-肟
分子式 C31H56N2O11
分子量 632.79
CAS 登录号 53066-45-8
分子行输入简码 SMILES C(C2OC(=O)C(C(OC(=O)C)C(C(OC1OC(CC(N(C)C)C1O)C)C(O)(CC(C(=N/O)/C(C(O)C2(O)C)C)C)C)C)C)C
国际化学标识码 InChI 1S/C31H56N2O11/c1-12-22-31(9,39)26(36)17(4)23(32-40)15(2)14-30(8,38)27(18(5)25(42-20(7)34)19(6)28(37)43-22)44-29-24(35)21(33(10)11)13-16(3)41-29/h15-19,21-22,24-27,29,35-36,38-40H,12-14H2,1-11H3/b32-23-
国际化学标识检索码 InChIKey QQXGEGWVSCUUHT-SJIPCVTESA-N
市场分析报告
请浏览3-O-乙酰基-3-O-去(2,6-二脱氧-3-C-甲基-3-O-甲基-alpha-L-核-己糖吡喃糖苷)红霉素 9-肟市场分析报告总目录
相关产品
喹啉鎓硫酸氢盐  3,7-二甲基辛烷-1,6-二醇  5-乙基-3,4-二氢-4,4-二苯基-2H-吡咯  6-氯-3,4-二氢-3-(三氯甲基)-2H-1,...  苯甲醛 [3-[2-(3,4-二甲氧基苯基)乙基]...  2-氯苯甲醛 [3-[2-(3,4-二甲氧基苯基)...  4-氯苯甲醛 [3-[2-(3,4-二甲氧基苯基)...  4-甲氧基苯甲醛 [3-[2-(3,4-二甲氧基苯...  3,4-二甲氧基苯甲醛 [3-[2-(3,4-二甲...  3-苯基丙烯醛 [3-[2-(3,4-二甲氧基苯基...  4-氨基-2-甲氧基-5-甲基苯胺  1,4-二氨基-2-甲氧基苯  1-(alpha-吡啶)-2-丙醇  (双环[2.2.1]庚-2-基)甲基乙酸酯  (双环[2.2.1]庚-2-基)甲基苯甲酸酯