Online Database of Chemicals from Around the World

山梨糖醇聚氧乙烯醚
[CAS# 53694-15-8]

供应商
BOC Sciences 美国 询价快递  
+1 (631) 485-4226
info@bocsci.com
Skype 聊天
化学品供销商
chemBlink 集群供应商(2012 年起)
基本信息
产品名称 山梨糖醇聚氧乙烯醚
英文名 Ethoxylated sorbitol
别名 2-[1-[1,2-Bis(2-Hydroxyethoxy)Ethyl]-2,3,4-Tris(2-Hydroxyethoxy)Butoxy]Ethanol; Poly(Oxy-1,2-Ethanediyl), Alpha-Hydro-Omega-Hydroxy-, Ether With D-Glucitol (6:1)
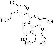
分子结构 CAS 登录号:53694-15-8, 山梨糖醇聚氧乙烯醚
分子式 C18H38O12
分子量 446.49
CAS 登录号 53694-15-8
分子行输入简码 SMILES C(OCCO)C(OCCO)C(OCCO)C(OCCO)C(OCCO)COCCO
国际化学标识码 InChI 1S/C18H38O12/c19-1-7-25-13-15(27-9-3-21)17(29-11-5-23)18(30-12-6-24)16(28-10-4-22)14-26-8-2-20/h15-24H,1-14H2
国际化学标识检索码 InChIKey VDQWQTYEEJHNSB-UHFFFAOYSA-N
物理化学性质
密度 1.274g/cm3 (计算值)
沸点 634.268°C at 760 mmHg (计算值)
闪点 337.393°C (计算值)
市场分析报告
请浏览山梨糖醇聚氧乙烯醚市场分析报告总目录
相关产品
4-(苄基磺酰胺基)苯甲酸  8-叠氮基腺苷 5'-三磷酸酯钠盐  草酸镧  茴胍卡因  扁枝衣二酸  盐酸地哌冬  二[4-(2-羟基乙氧基)-3,5-二溴苯基]砜  罗西维林  阿尼洛泮二盐酸盐  奈西利定盐酸盐  阿马诺嗪  二(异丙基)衣康酸酯  氯咪唑  甲基丙烯酸铜 (II)  5-辛炔-3-醇