Online Database of Chemicals from Around the World

Saparal
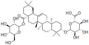
[CAS# 54692-41-0]

供应商
CAS#: 54692-41-0
产品: Saparal
暂时没有厂家供应该产品。
基本信息
产品名称 Saparal
英文名 Saparal
别名 (2S,3S,4S,5R)-6-[[(3S,4Ar,6Ar,6Bs,8As,12As,14Ar,14Br)-4,4,6A,6B,11,11,14B-Heptamethyl-8A-[(3S,4R,5R,6S)-3,4,5-Trihydroxy-6-(Hydroxymethyl)Tetrahydropyran-2-Yl]Oxycarbonyl-1,2,3,4A,5,6,7,8,9,10,12,12A,14,14A-Tetradecahydropicen-3-Yl]Oxy]-3,4,5-Trihydroxy-Tetrahydropyran-2-Carboxylic Acid; (2S,3S,4S,5R)-6-[[(3S,4Ar,6Ar,6Bs,8As,12As,14Ar,14Br)-4,4,6A,6B,11,11,14B-Heptamethyl-8A-[Oxo-[[(3S,4R,5R,6S)-3,4,5-Trihydroxy-6-(Hydroxymethyl)-2-Tetrahydropyranyl]Oxy]Methyl]-1,2,3,4A,5,6,7,8,9,10,12,12A,14,14A-Tetradecahydropicen-3-Yl]Oxy]-3,4,5-Trihydroxy-2-Tetrahydropyrancarboxylic Acid; (2S,3S,4S,5R)-6-[[(3S,4Ar,6Ar,6Bs,8As,12As,14Ar,14Br)-4,4,6A,6B,11,11,14B-Heptamethyl-8A-[(3S,4R,5R,6S)-3,4,5-Trihydroxy-6-Methylol-Tetrahydropyran-2-Yl]Oxycarbonyl-1,2,3,4A,5,6,7,8,9,10,12,12A,14,14A-Tetradecahydropicen-3-Yl]Oxy]-3,4,5-Trihydroxy-Tetrahydropyran-2-Carboxylic Acid
分子结构 CAS 登录号:54692-41-0, Saparal
分子式 C42H66O14
分子量 794.98
CAS 登录号 54692-41-0
分子行输入简码 SMILES [C@@H]15[C@]([C@]2(C(=CC1)[C@H]4[C@](CC2)(C(OC3O[C@H]([C@H](O)[C@@H](O)[C@@H]3O)CO)=O)CCC(C4)(C)C)C)(CC[C@@H]7[C@@]5(CC[C@H](OC6O[C@@H]([C@@H](O)[C@H](O)[C@H]6O)C(=O)O)C7(C)C)C)C
国际化学标识码 InChI 1S/C42H66O14/c1-37(2)14-16-42(36(52)56-34-30(48)27(45)26(44)22(19-43)53-34)17-15-40(6)20(21(42)18-37)8-9-24-39(5)12-11-25(38(3,4)23(39)10-13-41(24,40)7)54-35-31(49)28(46)29(47)32(55-35)33(50)51/h8,21-32,34-35,43-49H,9-19H2,1-7H3,(H,50,51)/t21-,22-,23-,24+,25-,26-,27+,28-,29-,30-,31+,32-,34?,35?,39-,40+,41+,42-/m0/s1
国际化学标识检索码 InChIKey YOSRLTNUOCHBEA-ATLBLLJHSA-N
物理化学性质
密度 1.372g/cm3 (计算值)
沸点 873.286°C at 760 mmHg (计算值)
闪点 255.646°C (计算值)
市场分析报告
请浏览Saparal市场分析报告总目录
相关产品
2,3-二溴丁酸甲酯  甲基环氧乙烷与环氧乙烷单(1,1-联苯-4-基)醚...  (E)-2-丙基丁-2-烯二酸  2-溴环己烷-1-羧酸  (1S,2S)-2-氯环己烷-1-羧酸  (3E)-1-溴-3-羟基亚胺-5-苯基-吡咯烷-...  (E)-2-苄基丁-2-烯二酸  2-(2-甲基苯甲酰)苯甲酸  1,4,5-三苯基吡咯烷-2,3-二酮  3-[4-(4-溴苯基)-5-苯基-3H-咪唑-2...  1,5-二苯基吡咯烷-2-酮  4,5-二氧代-1,2-二苯基-吡咯烷-3-羧酸乙...  3,4,5,6-四羟基-1-[(4-甲基苯基)氨基...  2,3,4,5-四乙酰氧基己二酸  5-硝基呋喃-2-甲酰肼