Online Database of Chemicals from Around the World

Ramihyphin A
[CAS# 55126-45-9]

供应商
CAS#: 55126-45-9
产品: Ramihyphin A
暂时没有厂家供应该产品。
基本信息
产品名称 Ramihyphin A
英文名 Ramihyphin A
别名 (3S,6S,9S,12R,15S,18S,21S,24S,30S,33S)-30-Ethyl-33-[(E,1R,2R)-1-Hydroxy-2-Methyl-Pent-3-Enyl]-3,6,9,18,24-Pentaisobutyl-21-Isopropyl-1,4,7,10,12,15,19,25,28-Nonamethyl-1,4,7,10,13,16,19,22,25,28,31-Undecazacyclotritriacontane-2,5,8,11,14,17,20,23,26,29,32-Undecone; (3S,6S,9S,12R,15S,18S,21S,24S,30S,33S)-30-Ethyl-33-[(E,1R,2R)-1-Hydroxy-2-Methylpent-3-Enyl]-3,6,9,18,24-Pentaisobutyl-21-Isopropyl-1,4,7,10,12,15,19,25,28-Nonamethyl-1,4,7,10,13,16,19,22,25,28,31-Undecazacyclotritriacontane-2,5,8,11,14,17,20,23,26,29,32-Undecone; (3S,6S,9S,12R,15S,18S,21S,24S,30S,33S)-30-Ethyl-33-[(E,1R,2R)-1-Hydroxy-2-Methyl-Pent-3-Enyl]-1,4,7,10,12,15,19,25,28-Nonamethyl-3,6,9,18,24-Pentakis(2-Methylpropyl)-21-Propan-2-Yl-1,4,7,10,13,16,19,22,25,28,31-Undecazacyclotritriacontane-2,5,8,11,14,17,20,23,26,29,32-Undecone
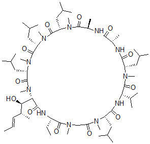
分子结构 CAS 登录号:55126-45-9, Ramihyphin A
分子式 C62H111N11O12
分子量 1202.63
CAS 登录号 55126-45-9
分子行输入简码 SMILES [C@H]1(N(C(=O)[C@@H](N(C(=O)[C@@H](N(C(=O)[C@@H](N(C(=O)[C@H](NC(=O)[C@@H](NC(=O)[C@@H](N(C(=O)[C@@H](NC(=O)[C@@H](N(C(=O)CN(C(=O)[C@@H](NC1=O)CC)C)C)CC(C)C)C(C)C)C)CC(C)C)C)C)C)CC(C)C)C)CC(C)C)C)CC(C)C)C)[C@H](O)[C@@H](\C=C\C)C
国际化学标识码 InChI 1S/C62H111N11O12/c1-25-27-40(15)52(75)51-56(79)65-43(26-2)58(81)67(18)33-49(74)68(19)44(28-34(3)4)55(78)66-50(39(13)14)62(85)69(20)45(29-35(5)6)54(77)63-41(16)53(76)64-42(17)57(80)70(21)46(30-36(7)8)59(82)71(22)47(31-37(9)10)60(83)72(23)48(32-38(11)12)61(84)73(51)24/h25,27,34-48,50-52,75H,26,28-33H2,1-24H3,(H,63,77)(H,64,76)(H,65,79)(H,66,78)/b27-25+/t40-,41+,42-,43+,44+,45+,46+,47+,48+,50+,51+,52-/m1/s1
国际化学标识检索码 InChIKey DDPJWUQJQMKQIF-XPNZOOHZSA-N
物理化学性质
密度 1.014g/cm3 (计算值)
沸点 1290.836°C at 760 mmHg (计算值)
闪点 734.471°C (计算值)
市场分析报告
请浏览Ramihyphin A市场分析报告总目录
相关产品
2-羟基乙基硫代乙酸酯  1,4-恶噻烷-2-酮  2,2'-[(1-甲基乙亚基)二(4,1-亚苯基氧...  Ferroplex  Briserin  10-(乙酰氧基)-4,5,6,7-四氢-2H-1...  2-(乙氧基亚甲基)-3-氧代-丁二酸二乙酯  2-(1-吡咯烷基亚甲基)丙二酸二乙酯  N-苄氧羰基甘氨酸苄酯  9-丁基十四氢蒽  N-苄氧羰基-DL-丙氨酸苄酯  5-乙基-1,3-二甲基-5-仲丁基巴比妥酸  4-甲基盐霉素  谷胱甘酰多巴  N-甲酰基-L-天冬氨酸 4-苄酯